2017 Mathematics HSC General 2
Due to copyright restriction, we are not able to show the exam paper or questions on this website. As the answers, solutions and videos are our own work, these are all accessible on this page. Please use the following links to get a copy of the exam paper:
Exam Paper: click here Marking Guidelines: click here Notes from Marking Centre: click here
For all questions, see exam paper
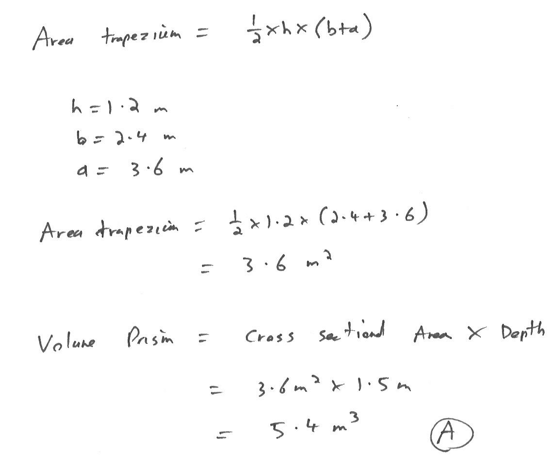
1)
a
Question ID: 100060010010
Submit Yours! Copy Question ID and
click hereQuestion by:
Answer by: ada
s
Question ID: 100060010010
Submit Yours! Copy Question ID and click here
Solution by: ada
v
Question ID: 100060010010
Submit Yours! Copy Question ID and
click hereVideo by:
d
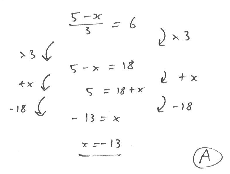
2)
a
Question ID: 100060020010
Submit Yours! Copy Question ID and
click hereQuestion by:
Answer by: ada
s
Question ID: 100060020010
Submit Yours! Copy Question ID and click here
Solution by: ada
v
Question ID: 100060020010
Submit Yours! Copy Question ID and
click hereVideo by:
d
3)
a
Question ID: 100060030010
Submit Yours! Copy Question ID and
click hereQuestion by:
Answer by: ada
s
Question ID: 100060030010
Submit Yours! Copy Question ID and click here
Solution by: ada
v
Question ID: 100060030010
Submit Yours! Copy Question ID and
click hereVideo by:
d
4)
a
Question ID: 100060040010
Submit Yours! Copy Question ID and
click hereQuestion by:
Answer by: ada
s
Question ID: 100060040010
Submit Yours! Copy Question ID and click here
Solution by: ada
v
Question ID: 100060040010
Submit Yours! Copy Question ID and
click hereVideo by:
d
5)
a
Question ID: 100060050010
Submit Yours! Copy Question ID and
click hereQuestion by:
Answer by: ada
s
Question ID: 100060050010
Submit Yours! Copy Question ID and click here
Solution by: ada
v
Question ID: 100060050010
Submit Yours! Copy Question ID and
click hereVideo by:
d
6)
a
Question ID: 100060060010
Submit Yours! Copy Question ID and
click hereQuestion by:
Answer by: ada
s
Question ID: 100060060010
Submit Yours! Copy Question ID and click here
Solution by: ada
v
Question ID: 100060060010
Submit Yours! Copy Question ID and
click hereVideo by:
d
7)
a
Question ID: 100060070010
Submit Yours! Copy Question ID and
click hereQuestion by:
Answer by: ada
s
Question ID: 100060070010
Submit Yours! Copy Question ID and click here
Solution by: ada
v
Question ID: 100060070010
Submit Yours! Copy Question ID and
click hereVideo by:
d
8)
a
Question ID: 100060080010
Submit Yours! Copy Question ID and
click hereQuestion by:
Answer by: ada
s
Question ID: 100060080010
Submit Yours! Copy Question ID and click here
Solution by: ada
v
Question ID: 100060080010
Submit Yours! Copy Question ID and
click hereVideo by:
d
9)
a
Question ID: 100060090010
Submit Yours! Copy Question ID and
click hereQuestion by:
Answer by: ada
s
Question ID: 100060090010
Submit Yours! Copy Question ID and click here
Solution by: ada
v
Question ID: 100060090010
Submit Yours! Copy Question ID and
click hereVideo by:
d
10)
a
Question ID: 100060100010
Submit Yours! Copy Question ID and
click hereQuestion by:
Answer by: ada
s
Question ID: 100060100010
Submit Yours! Copy Question ID and click here
Solution by: ada
v
Question ID: 100060100010
Submit Yours! Copy Question ID and
click hereVideo by:
d
11)
a
Question ID: 100060110010
Submit Yours! Copy Question ID and
click hereQuestion by:
Answer by: ada
s
Question ID: 100060110010
Submit Yours! Copy Question ID and click here
Solution by: ada
v
Question ID: 100060110010
Submit Yours! Copy Question ID and
click hereVideo by:
d
12)
a
Question ID: 100060120010
Submit Yours! Copy Question ID and
click hereQuestion by:
Answer by: ada
s
Question ID: 100060120010
Submit Yours! Copy Question ID and click here
Solution by: ada
v
Question ID: 100060120010
Submit Yours! Copy Question ID and
click hereVideo by:
d
13)
a
Question ID: 100060130010
Submit Yours! Copy Question ID and
click hereQuestion by:
Answer by: ada
s
Question ID: 100060130010
Submit Yours! Copy Question ID and click here
Solution by: ada
v
Question ID: 100060130010
Submit Yours! Copy Question ID and
click hereVideo by:
d
14)
a
Question ID: 100060140010
Submit Yours! Copy Question ID and
click hereQuestion by:
Answer by: ada
s
Question ID: 100060140010
Submit Yours! Copy Question ID and click here
Solution by: ada
v
Question ID: 100060140010
Submit Yours! Copy Question ID and
click hereVideo by:
d
15)
a
Question ID: 100060150010
Submit Yours! Copy Question ID and
click hereQuestion by:
Answer by: ada
s
Question ID: 100060150010
Submit Yours! Copy Question ID and click here
Solution by: ada
v
Question ID: 100060150010
Submit Yours! Copy Question ID and
click hereVideo by:
d
16)
a
Question ID: 100060160010
Submit Yours! Copy Question ID and
click hereQuestion by:
Answer by: ada
s
Question ID: 100060160010
Submit Yours! Copy Question ID and click here
Solution by: ada
v
Question ID: 100060160010
Submit Yours! Copy Question ID and
click hereVideo by:
d
17)
a
Question ID: 100060170010
Submit Yours! Copy Question ID and
click hereQuestion by:
Answer by: ada
s
Question ID: 100060170010
Submit Yours! Copy Question ID and click here
Solution by: ada
v
Question ID: 100060170010
Submit Yours! Copy Question ID and
click hereVideo by:
d
18)
a
Question ID: 100060180010
Submit Yours! Copy Question ID and
click hereQuestion by:
Answer by: ada
s
Question ID: 100060180010
Submit Yours! Copy Question ID and click here
Solution by: ada
v
Question ID: 100060180010
Submit Yours! Copy Question ID and
click hereVideo by:
d
19)
a
Question ID: 100060190010
Submit Yours! Copy Question ID and
click hereQuestion by:
Answer by: ada
s
Question ID: 100060190010
Submit Yours! Copy Question ID and click here
Solution by: ada
v
Question ID: 100060190010
Submit Yours! Copy Question ID and
click hereVideo by:
d
20)
a
Question ID: 100060200010
Submit Yours! Copy Question ID and
click hereQuestion by:
Answer by: ada
s
Question ID: 100060200010
Submit Yours! Copy Question ID and click here
Solution by: ada
v
Question ID: 100060200010
Submit Yours! Copy Question ID and
click hereVideo by:
d
21)
a
Question ID: 100060210010
Submit Yours! Copy Question ID and
click hereQuestion by:
Answer by: ada
s
Question ID: 100060210010
Submit Yours! Copy Question ID and click here
Solution by: ada
v
Question ID: 100060210010
Submit Yours! Copy Question ID and
click hereVideo by:
d
22)
a
Question ID: 100060220010
Submit Yours! Copy Question ID and
click hereQuestion by:
Answer by: ada
s
Question ID: 100060220010
Submit Yours! Copy Question ID and click here
Solution by: ada
v
Question ID: 100060220010
Submit Yours! Copy Question ID and
click hereVideo by:
d
23)
a
Question ID: 100060230010
Submit Yours! Copy Question ID and
click hereQuestion by:
Answer by: ada
s
Question ID: 100060230010
Submit Yours! Copy Question ID and click here
Solution by: ada
v
Question ID: 100060230010
Submit Yours! Copy Question ID and
click hereVideo by:
d
24)
a
Question ID: 100060240010
Submit Yours! Copy Question ID and
click hereQuestion by:
Answer by: ada
s
Question ID: 100060240010
Submit Yours! Copy Question ID and click here
Solution by: ada
v
Question ID: 100060240010
Submit Yours! Copy Question ID and
click hereVideo by:
d
25)
a
Question ID: 100060250010
Submit Yours! Copy Question ID and
click hereQuestion by:
Answer by: ada
s
Question ID: 100060250010
Submit Yours! Copy Question ID and click here
Solution by: ada
v
Question ID: 100060250010
Submit Yours! Copy Question ID and
click hereVideo by:
d
26a)
a
Question ID: 100060260010
Submit Yours! Copy Question ID and
click hereQuestion by:
Answer by: ada
s
Question ID: 100060260010
Submit Yours! Copy Question ID and click here
Solution by: ada
v
Question ID: 100060260010
Submit Yours! Copy Question ID and
click hereVideo by:
d
26b)
a
Question ID: 100060260020
Submit Yours! Copy Question ID and
click hereQuestion by:
Answer by: ada
s
Question ID: 100060260020
Submit Yours! Copy Question ID and click here
Solution by: ada
v
Question ID: 100060260020
Submit Yours! Copy Question ID and
click hereVideo by:
d
26c)
a
Question ID: 100060260030
Submit Yours! Copy Question ID and
click hereQuestion by:
Answer by: ada
s
Question ID: 100060260030
Submit Yours! Copy Question ID and click here
Solution by: ada
v
Question ID: 100060260030
Submit Yours! Copy Question ID and
click hereVideo by:
d
26d)
a
Question ID: 100060260040
Submit Yours! Copy Question ID and
click hereQuestion by:
Answer by: ada
s
Question ID: 100060260040
Submit Yours! Copy Question ID and click here
Solution by: ada
v
Question ID: 100060260040
Submit Yours! Copy Question ID and
click hereVideo by:
d
26e)
a
Question ID: 100060260050
Submit Yours! Copy Question ID and
click hereQuestion by:
Answer by: ada
s
Question ID: 100060260050
Submit Yours! Copy Question ID and click here
Solution by: ada
v
Question ID: 100060260050
Submit Yours! Copy Question ID and
click hereVideo by:
d
26fi)
a
Question ID: 100060260060
Submit Yours! Copy Question ID and
click hereQuestion by:
Answer by: ada
s
Question ID: 100060260060
Submit Yours! Copy Question ID and click here
Solution by: ada
v
Question ID: 100060260060
Submit Yours! Copy Question ID and
click hereVideo by:
d
26fii)
a
Question ID: 100060260070
Submit Yours! Copy Question ID and
click hereQuestion by:
Answer by: ada
s
Question ID: 100060260070
Submit Yours! Copy Question ID and click here
Solution by: ada
v
Question ID: 100060260070
Submit Yours! Copy Question ID and
click hereVideo by:
d
26g)
a
Question ID: 100060260080
Submit Yours! Copy Question ID and
click hereQuestion by:
Answer by: ada
s
Question ID: 100060260080
Submit Yours! Copy Question ID and click here
Solution by: ada
v
Question ID: 100060260080
Submit Yours! Copy Question ID and
click hereVideo by:
d
27ai)
a
Question ID: 100060270010
Submit Yours! Copy Question ID and
click hereQuestion by:
Answer by: ada
s
Question ID: 100060270010
Submit Yours! Copy Question ID and click here
Solution by: ada
v
Question ID: 100060270010
Submit Yours! Copy Question ID and
click hereVideo by:
d
27aii)
a
Question ID: 100060270020
Submit Yours! Copy Question ID and
click hereQuestion by:
Answer by: ada
s
Question ID: 100060270020
Submit Yours! Copy Question ID and click here
Solution by: ada
v
Question ID: 100060270020
Submit Yours! Copy Question ID and
click hereVideo by:
d
27b)
a
Question ID: 100060270030
Submit Yours! Copy Question ID and
click hereQuestion by:
Answer by: ada
s
Question ID: 100060270030
Submit Yours! Copy Question ID and click here
Solution by: ada
v
Question ID: 100060270030
Submit Yours! Copy Question ID and
click hereVideo by:
d
27ci)
a
Question ID: 100060270040
Submit Yours! Copy Question ID and
click hereQuestion by:
Answer by: ada
s
Question ID: 100060270040
Submit Yours! Copy Question ID and click here
Solution by: ada
v
Question ID: 100060270040
Submit Yours! Copy Question ID and
click hereVideo by:
d
27cii)
a
Question ID: 100060270050
Submit Yours! Copy Question ID and
click hereQuestion by:
Answer by: ada
s
Question ID: 100060270050
Submit Yours! Copy Question ID and click here
Solution by: ada
v
Question ID: 100060270050
Submit Yours! Copy Question ID and
click hereVideo by:
d
27di)
a
Question ID: 100060270060
Submit Yours! Copy Question ID and
click hereQuestion by:
Answer by: ada
s
Question ID: 100060270060
Submit Yours! Copy Question ID and click here
Solution by: ada
v
Question ID: 100060270060
Submit Yours! Copy Question ID and
click hereVideo by:
d
27dii)
a
Question ID: 100060270070
Submit Yours! Copy Question ID and
click hereQuestion by:
Answer by: ada
s
Question ID: 100060270070
Submit Yours! Copy Question ID and click here
Solution by: ada
v
Question ID: 100060270070
Submit Yours! Copy Question ID and
click hereVideo by:
d
27diii)
a
Question ID: 100060270080
Submit Yours! Copy Question ID and
click hereQuestion by:
Answer by: ada
s
Question ID: 100060270080
Submit Yours! Copy Question ID and click here
Solution by: ada
v
Question ID: 100060270080
Submit Yours! Copy Question ID and
click hereVideo by:
d
27e)
a
Question ID: 100060270090
Submit Yours! Copy Question ID and
click hereQuestion by:
Answer by: ada
s
Question ID: 100060270090
Submit Yours! Copy Question ID and click here
Solution by: ada
v
Question ID: 100060270090
Submit Yours! Copy Question ID and
click hereVideo by:
d
28ai)
a
Question ID: 100060280010
Submit Yours! Copy Question ID and
click hereQuestion by:
Answer by: ada
s
Question ID: 100060280010
Submit Yours! Copy Question ID and click here
Solution by: ada
v
Question ID: 100060280010
Submit Yours! Copy Question ID and
click hereVideo by:
d
28aii)
a
Question ID: 100060280020
Submit Yours! Copy Question ID and
click hereQuestion by:
Answer by: ada
s
Question ID: 100060280020
Submit Yours! Copy Question ID and click here
Solution by: ada
v
Question ID: 100060280020
Submit Yours! Copy Question ID and
click hereVideo by:
d
28aiii)
a
Question ID: 100060280030
Submit Yours! Copy Question ID and
click hereQuestion by:
Answer by: ada
s
Question ID: 100060280030
Submit Yours! Copy Question ID and click here
Solution by: ada
v
Question ID: 100060280030
Submit Yours! Copy Question ID and
click hereVideo by:
d
28bi)
a
Question ID: 100060280040
Submit Yours! Copy Question ID and
click hereQuestion by:
Answer by: ada
s
Question ID: 100060280040
Submit Yours! Copy Question ID and click here
Solution by: ada
v
Question ID: 100060280040
Submit Yours! Copy Question ID and
click hereVideo by:
d
28bii)
a
Question ID: 100060280050
Submit Yours! Copy Question ID and
click hereQuestion by:
Answer by: ada
s
Question ID: 100060280050
Submit Yours! Copy Question ID and click here
Solution by: ada
v
Question ID: 100060280050
Submit Yours! Copy Question ID and
click hereVideo by:
d
28c)
a
Question ID: 100060280060
Submit Yours! Copy Question ID and
click hereQuestion by:
Answer by: ada
s
Question ID: 100060280060
Submit Yours! Copy Question ID and click here
Solution by: ada
v
Question ID: 100060280060
Submit Yours! Copy Question ID and
click hereVideo by:
d
28d)
a
Question ID: 100060280070
Submit Yours! Copy Question ID and
click hereQuestion by:
Answer by: ada
s
Question ID: 100060280070
Submit Yours! Copy Question ID and click here
Solution by: ada
v
Question ID: 100060280070
Submit Yours! Copy Question ID and
click hereVideo by:
d
28ei)
a
Question ID: 100060280080
Submit Yours! Copy Question ID and
click hereQuestion by:
Answer by: ada
s
Question ID: 100060280080
Submit Yours! Copy Question ID and click here
Solution by: ada
v
Question ID: 100060280080
Submit Yours! Copy Question ID and
click hereVideo by:
d
28eii)
a
Question ID: 100060280090
Submit Yours! Copy Question ID and
click hereQuestion by:
Answer by: ada
s
Question ID: 100060280090
Submit Yours! Copy Question ID and click here
Solution by: ada
v
Question ID: 100060280090
Submit Yours! Copy Question ID and
click hereVideo by:
d
28eiii)
a
Question ID: 100060280100
Submit Yours! Copy Question ID and
click hereQuestion by:
Answer by: ada
s
Question ID: 100060280100
Submit Yours! Copy Question ID and click here
Solution by: ada
v
Question ID: 100060280100
Submit Yours! Copy Question ID and
click hereVideo by:
d
29ai)
a
Question ID: 100060290010
Submit Yours! Copy Question ID and
click hereQuestion by:
Answer by: ada
s
Question ID: 100060290010
Submit Yours! Copy Question ID and click here
Solution by: ada
v
Question ID: 100060290010
Submit Yours! Copy Question ID and
click hereVideo by:
d
29aii)
a
Question ID: 100060290020
Submit Yours! Copy Question ID and
click hereQuestion by:
Answer by: ada
s
Question ID: 100060290020
Submit Yours! Copy Question ID and click here
Solution by: ada
v
Question ID: 100060290020
Submit Yours! Copy Question ID and
click hereVideo by:
d
29b)
a
Question ID: 100060290030
Submit Yours! Copy Question ID and
click hereQuestion by:
Answer by: ada
s
Question ID: 100060290030
Submit Yours! Copy Question ID and click here
Solution by: ada
v
Question ID: 100060290030
Submit Yours! Copy Question ID and
click hereVideo by:
d
29ci)
a
Question ID: 100060290040
Submit Yours! Copy Question ID and
click hereQuestion by:
Answer by: ada
s
Question ID: 100060290040
Submit Yours! Copy Question ID and click here
Solution by: ada
v
Question ID: 100060290040
Submit Yours! Copy Question ID and
click hereVideo by:
d
29cii)
a
Question ID: 100060290050
Submit Yours! Copy Question ID and
click hereQuestion by:
Answer by: ada
s
Question ID: 100060290050
Submit Yours! Copy Question ID and click here
Solution by: ada
v
Question ID: 100060290050
Submit Yours! Copy Question ID and
click hereVideo by:
d
29di)
a
Question ID: 100060290060
Submit Yours! Copy Question ID and
click hereQuestion by:
Answer by: ada
s
Question ID: 100060290060
Submit Yours! Copy Question ID and click here
Solution by: ada
v
Question ID: 100060290060
Submit Yours! Copy Question ID and
click hereVideo by:
d
29dii)
a
Question ID: 100060290070
Submit Yours! Copy Question ID and
click hereQuestion by:
Answer by: ada
s
Question ID: 100060290070
Submit Yours! Copy Question ID and click here
Solution by: ada
v
Question ID: 100060290070
Submit Yours! Copy Question ID and
click hereVideo by:
d
29diii)
a
Question ID: 100060290080
Submit Yours! Copy Question ID and
click hereQuestion by:
Answer by: ada
s
Question ID: 100060290080
Submit Yours! Copy Question ID and click here
Solution by: ada
v
Question ID: 100060290080
Submit Yours! Copy Question ID and
click hereVideo by:
d
30a)
a
Question ID: 100060300010
Submit Yours! Copy Question ID and
click hereQuestion by:
Answer by: ada
s
Question ID: 100060300010
Submit Yours! Copy Question ID and click here
Solution by: ada
v
Question ID: 100060300010
Submit Yours! Copy Question ID and
click hereVideo by:
d
30b)
a
Question ID: 100060300020
Submit Yours! Copy Question ID and
click hereQuestion by:
Answer by: ada
s
Question ID: 100060300020
Submit Yours! Copy Question ID and click here
Solution by: ada
v
Question ID: 100060300020
Submit Yours! Copy Question ID and
click hereVideo by:
d
30ci)
a
Question ID: 100060300030
Submit Yours! Copy Question ID and
click hereQuestion by:
Answer by: ada
s
Question ID: 100060300030
Submit Yours! Copy Question ID and click here
Solution by: ada
v
Question ID: 100060300030
Submit Yours! Copy Question ID and
click hereVideo by:
d
30cii)
a
Question ID: 100060300040
Submit Yours! Copy Question ID and
click hereQuestion by:
Answer by: ada
s
Question ID: 100060300040
Submit Yours! Copy Question ID and click here
Solution by: ada
v
Question ID: 100060300040
Submit Yours! Copy Question ID and
click hereVideo by:
d
30di)
a
Question ID: 100060300050
Submit Yours! Copy Question ID and
click hereQuestion by:
Answer by: ada
s
Question ID: 100060300050
Submit Yours! Copy Question ID and click here
Solution by: ada
v
Question ID: 100060300050
Submit Yours! Copy Question ID and
click hereVideo by:
d
30dii)
a
Question ID: 100060300060
Submit Yours! Copy Question ID and
click hereQuestion by:
Answer by: ada
s
Question ID: 100060300060
Submit Yours! Copy Question ID and click here
Solution by: ada
v
Question ID: 100060300060
Submit Yours! Copy Question ID and
click hereVideo by:
d
30e)
a
Question ID: 100060300070
Submit Yours! Copy Question ID and
click hereQuestion by:
Answer by: ada
s
Question ID: 100060300070
Submit Yours! Copy Question ID and click here
Solution by: ada
v
Question ID: 100060300070
Submit Yours! Copy Question ID and
click hereVideo by:
d
Answers
1)
2)
3)
4)
5)
6)
7)
8)
9)
10)
11)
12)
13)
14)
15)
16)
17)
18)
19)
20)
21)
22)
23)
24)
25)
26a)
26b)
26c)
26d)
26e)
26fi)
26fii)
26g)
27ai)
27aii)
27b)
27ci)
27cii)
27di)
27dii)
27diii)
27e)
28ai)
28aii)
28aiii)
28bi)
28bii)
28c)
28d)
28ei)
28eii)
28eiii)
29ai)
29aii)
29b)
29ci)
29cii)
29di)
29dii)
29diii)
30a)
30b)
30ci)
30cii)
30di)
30dii)
30e)
Solutions
1)
2)
3)
4)
5)
6)
7)
8)
9)
10)
11)
12)
13)
14)
15)
16)
17)
18)
19)
20)
21)
22)
23)
24)
25)
26a)
26b)
26c)
26d)
26e)
26fi)
26fii)
26g)
27ai)
27aii)
27b)
27ci)
27cii)
27di)
27dii)
27diii)
27e)
28ai)
28aii)
28aiii)
28bi)
28bii)
28c)
28d)
28ei)
28eii)
28eiii)
29ai)
29aii)
29b)
29ci)
29cii)
29di)
29dii)
29diii)
30a)
30b)
30ci)
30cii)
30di)
30dii)
30e)