2017 Mathematics HSC 2 Unit
Due to copyright restriction, we are not able to show the exam paper or questions on this website. As the answers, solutions and videos are our own work, these are all accessible on this page. Please use the following links to get a copy of the exam paper:
Exam Paper: click here Marking Guidelines: click here Marking Feedback: click here
For all questions, see exam paper
1)
a
Question ID: 100050010010
Submit Yours! Copy Question ID and
click hereQuestion by:
Answer by: ada
s
Question ID: 100050010010
Submit Yours! Copy Question ID and click here
Solution by: ada
v
Question ID: 100050010010
Submit Yours! Copy Question ID and
click hereVideo by:
d
2)
a
Question ID: 100050020010
Submit Yours! Copy Question ID and
click hereQuestion by:
Answer by: ada
s
Question ID: 100050020010
Submit Yours! Copy Question ID and click here
Solution by: ada
v
Question ID: 100050020010
Submit Yours! Copy Question ID and
click hereVideo by:
d
3)
a
Question ID: 100050030010
Submit Yours! Copy Question ID and
click hereQuestion by:
Answer by: ada
s
Question ID: 100050030010
Submit Yours! Copy Question ID and click here
Solution by: ada
v
Question ID: 100050030010
Submit Yours! Copy Question ID and
click hereVideo by:
d
4)
a
Question ID: 100050040010
Submit Yours! Copy Question ID and
click hereQuestion by:
Answer by: ada
s
Question ID: 100050040010
Submit Yours! Copy Question ID and click here
Solution by: ada
v
Question ID: 100050040010
Submit Yours! Copy Question ID and
click hereVideo by:
d
5)
a
Question ID: 100050050010
Submit Yours! Copy Question ID and
click hereQuestion by:
Answer by: ada
s
Question ID: 100050050010
Submit Yours! Copy Question ID and click here
Solution by: ada
v
Question ID: 100050050010
Submit Yours! Copy Question ID and
click hereVideo by:
d
6)
a
Question ID: 100050060010
Submit Yours! Copy Question ID and
click hereQuestion by:
Answer by: ada
s
Question ID: 100050060010
Submit Yours! Copy Question ID and click here
Solution by: ada
v
Question ID: 100050060010
Submit Yours! Copy Question ID and
click hereVideo by:
d
7)
a
Question ID: 100050070010
Submit Yours! Copy Question ID and
click hereQuestion by:
Answer by: ada
s
Question ID: 100050070010
Submit Yours! Copy Question ID and click here
Solution by: ada
v
Question ID: 100050070010
Submit Yours! Copy Question ID and
click hereVideo by:
d
8)
a
Question ID: 100050080010
Submit Yours! Copy Question ID and
click hereQuestion by:
Answer by: ada
s
Question ID: 100050080010
Submit Yours! Copy Question ID and click here
Solution by: ada
v
Question ID: 100050080010
Submit Yours! Copy Question ID and
click hereVideo by:
d
9)
a
Question ID: 100050090010
Submit Yours! Copy Question ID and
click hereQuestion by:
Answer by: ada
s
Question ID: 100050090010
Submit Yours! Copy Question ID and click here
Solution by: ada
v
Question ID: 100050090010
Submit Yours! Copy Question ID and
click hereVideo by:
d
10)
a
Question ID: 100050100010
Submit Yours! Copy Question ID and
click hereQuestion by:
Answer by: ada
s
Question ID: 100050100010
Submit Yours! Copy Question ID and click here
Solution by: ada
v
Question ID: 100050100010
Submit Yours! Copy Question ID and
click hereVideo by:
d
11a)
a
Question ID: 100050110010
Submit Yours! Copy Question ID and
click hereQuestion by:
Answer by: ada
s
Question ID: 100050110010
Submit Yours! Copy Question ID and click here
Solution by: ada
v
Question ID: 100050110010
Submit Yours! Copy Question ID and
click hereVideo by:
d
11b)
a
Question ID: 100050110020
Submit Yours! Copy Question ID and
click hereQuestion by:
Answer by: ada
s
Question ID: 100050110020
Submit Yours! Copy Question ID and click here
Solution by: ada
v
Question ID: 100050110020
Submit Yours! Copy Question ID and
click hereVideo by:
d
11c)
a
Question ID: 100050110030
Submit Yours! Copy Question ID and
click hereQuestion by:
Answer by: ada
s
Question ID: 100050110030
Submit Yours! Copy Question ID and click here
Solution by: ada
v
Question ID: 100050110030
Submit Yours! Copy Question ID and
click hereVideo by:
d
11d)
a
Question ID: 100050110040
Submit Yours! Copy Question ID and
click hereQuestion by:
Answer by: ada
s
Question ID: 100050110040
Submit Yours! Copy Question ID and click here
Solution by: ada
v
Question ID: 100050110040
Submit Yours! Copy Question ID and
click hereVideo by:
d
11ei)
a
Question ID: 100050110050
Submit Yours! Copy Question ID and
click hereQuestion by:
Answer by: ada
s
Question ID: 100050110050
Submit Yours! Copy Question ID and click here
Solution by: ada
v
Question ID: 100050110050
Submit Yours! Copy Question ID and
click hereVideo by:
d
11eii)
a
Question ID: 100050110060
Submit Yours! Copy Question ID and
click hereQuestion by:
Answer by: ada
s
Question ID: 100050110060
Submit Yours! Copy Question ID and click here
Solution by: ada
v
Question ID: 100050110060
Submit Yours! Copy Question ID and
click hereVideo by:
d
11f)
a
Question ID: 100050110070
Submit Yours! Copy Question ID and
click hereQuestion by:
Answer by: ada
s
Question ID: 100050110070
Submit Yours! Copy Question ID and click here
Solution by: ada
v
Question ID: 100050110070
Submit Yours! Copy Question ID and
click hereVideo by:
d
11g)
a
Question ID: 100050110080
Submit Yours! Copy Question ID and
click hereQuestion by:
Answer by: ada
s
Question ID: 100050110080
Submit Yours! Copy Question ID and click here
Solution by: ada
v
Question ID: 100050110080
Submit Yours! Copy Question ID and
click hereVideo by:
d
11h)
a
Question ID: 100050110090
Submit Yours! Copy Question ID and
click hereQuestion by:
Answer by: ada
s
Question ID: 100050110090
Submit Yours! Copy Question ID and click here
Solution by: ada
v
Question ID: 100050110090
Submit Yours! Copy Question ID and
click hereVideo by:
d
12a)
a
Question ID: 100050120010
Submit Yours! Copy Question ID and
click hereQuestion by:
Answer by: ada
s
Question ID: 100050120010
Submit Yours! Copy Question ID and click here
Solution by: ada
v
Question ID: 100050120010
Submit Yours! Copy Question ID and
click hereVideo by:
d
12b)
a
Question ID: 100050120020
Submit Yours! Copy Question ID and
click hereQuestion by:
Answer by: ada
s
Question ID: 100050120020
Submit Yours! Copy Question ID and click here
Solution by: ada
v
Question ID: 100050120020
Submit Yours! Copy Question ID and
click hereVideo by:
d
12c)
a
Question ID: 100050120030
Submit Yours! Copy Question ID and
click hereQuestion by:
Answer by: ada
s
Question ID: 100050120030
Submit Yours! Copy Question ID and click here
Solution by: ada
v
Question ID: 100050120030
Submit Yours! Copy Question ID and
click hereVideo by:
d
12di)
a
Question ID: 100050120040
Submit Yours! Copy Question ID and
click hereQuestion by:
Answer by: ada
s
Question ID: 100050120040
Submit Yours! Copy Question ID and click here
Solution by: ada
v
Question ID: 100050120040
Submit Yours! Copy Question ID and
click hereVideo by:
d
12dii)
a
Question ID: 100050120050
Submit Yours! Copy Question ID and
click hereQuestion by:
Answer by: ada
s
Question ID: 100050120050
Submit Yours! Copy Question ID and click here
Solution by: ada
v
Question ID: 100050120050
Submit Yours! Copy Question ID and
click hereVideo by:
d
12ei)
a
Question ID: 100050120060
Submit Yours! Copy Question ID and
click hereQuestion by:
Answer by: ada
s
Question ID: 100050120060
Submit Yours! Copy Question ID and click here
Solution by: ada
v
Question ID: 100050120060
Submit Yours! Copy Question ID and
click hereVideo by:
d
12eii)
a
Question ID: 100050120070
Submit Yours! Copy Question ID and
click hereQuestion by:
Answer by: ada
s
Question ID: 100050120070
Submit Yours! Copy Question ID and click here
Solution by: ada
v
Question ID: 100050120070
Submit Yours! Copy Question ID and
click hereVideo by:
d
12eiii)
a
Question ID: 100050120080
Submit Yours! Copy Question ID and
click hereQuestion by:
Answer by: ada
s
Question ID: 100050120080
Submit Yours! Copy Question ID and click here
Solution by: ada
v
Question ID: 100050120080
Submit Yours! Copy Question ID and
click hereVideo by:
d
12eiv)
a
Question ID: 100050120090
Submit Yours! Copy Question ID and
click hereQuestion by:
Answer by: ada
s
Question ID: 100050120090
Submit Yours! Copy Question ID and click here
Solution by: ada
v
Question ID: 100050120090
Submit Yours! Copy Question ID and
click hereVideo by:
d
13a)
a
Question ID: 100050130010
Submit Yours! Copy Question ID and
click hereQuestion by:
Answer by: ada
s
Question ID: 100050130010
Submit Yours! Copy Question ID and click here
Solution by: ada
v
Question ID: 100050130010
Submit Yours! Copy Question ID and
click hereVideo by:
d
13bi)
a
Question ID: 100050130020
Submit Yours! Copy Question ID and
click hereQuestion by:
Answer by: ada
s
Question ID: 100050130020
Submit Yours! Copy Question ID and click here
Solution by: ada
v
Question ID: 100050130020
Submit Yours! Copy Question ID and
click hereVideo by:
d
13bii)
a
Question ID: 100050130030
Submit Yours! Copy Question ID and
click hereQuestion by:
Answer by: ada
s
Question ID: 100050130030
Submit Yours! Copy Question ID and click here
Solution by: ada
v
Question ID: 100050130030
Submit Yours! Copy Question ID and
click hereVideo by:
d
13biii)
a
Question ID: 100050130040
Submit Yours! Copy Question ID and
click hereQuestion by:
Answer by: ada
s
Question ID: 100050130040
Submit Yours! Copy Question ID and click here
Solution by: ada
v
Question ID: 100050130040
Submit Yours! Copy Question ID and
click hereVideo by:
d
13c)
a
Question ID: 100050130050
Submit Yours! Copy Question ID and
click hereQuestion by:
Answer by: ada
s
Question ID: 100050130050
Submit Yours! Copy Question ID and click here
Solution by: ada
v
Question ID: 100050130050
Submit Yours! Copy Question ID and
click hereVideo by:
d
13d)
a
Question ID: 100050130060
Submit Yours! Copy Question ID and
click hereQuestion by:
Answer by: ada
s
Question ID: 100050130060
Submit Yours! Copy Question ID and click here
Solution by: ada
v
Question ID: 100050130060
Submit Yours! Copy Question ID and
click hereVideo by:
d
14a)
a
Question ID: 100050140010
Submit Yours! Copy Question ID and
click hereQuestion by:
Answer by: ada
s
Question ID: 100050140010
Submit Yours! Copy Question ID and click here
Solution by: ada
v
Question ID: 100050140010
Submit Yours! Copy Question ID and
click hereVideo by:
d
14bi)
a
Question ID: 100050140020
Submit Yours! Copy Question ID and
click hereQuestion by:
Answer by: ada
s
Question ID: 100050140020
Submit Yours! Copy Question ID and click here
Solution by: ada
v
Question ID: 100050140020
Submit Yours! Copy Question ID and
click hereVideo by:
d
14bii)
a
Question ID: 100050140030
Submit Yours! Copy Question ID and
click hereQuestion by:
Answer by: ada
s
Question ID: 100050140030
Submit Yours! Copy Question ID and click here
Solution by: ada
v
Question ID: 100050140030
Submit Yours! Copy Question ID and
click hereVideo by:
d
14biii)
a
Question ID: 100050140040
Submit Yours! Copy Question ID and
click hereQuestion by:
Answer by: ada
s
Question ID: 100050140040
Submit Yours! Copy Question ID and click here
Solution by: ada
v
Question ID: 100050140040
Submit Yours! Copy Question ID and
click hereVideo by:
d
14ci)
a
Question ID: 100050140050
Submit Yours! Copy Question ID and
click hereQuestion by:
Answer by: ada
s
Question ID: 100050140050
Submit Yours! Copy Question ID and click here
Solution by: ada
v
Question ID: 100050140050
Submit Yours! Copy Question ID and
click hereVideo by:
d
14cii)
a
Question ID: 100050140060
Submit Yours! Copy Question ID and
click hereQuestion by:
Answer by: ada
s
Question ID: 100050140060
Submit Yours! Copy Question ID and click here
Solution by: ada
v
Question ID: 100050140060
Submit Yours! Copy Question ID and
click hereVideo by:
d
14ciii)
a
Question ID: 100050140070
Submit Yours! Copy Question ID and
click hereQuestion by:
Answer by: ada
s
Question ID: 100050140070
Submit Yours! Copy Question ID and click here
Solution by: ada
v
Question ID: 100050140070
Submit Yours! Copy Question ID and
click hereVideo by:
d
14d)
a
Question ID: 100050140080
Submit Yours! Copy Question ID and
click hereQuestion by:
Answer by: ada
s
Question ID: 100050140080
Submit Yours! Copy Question ID and click here
Solution by: ada
v
Question ID: 100050140080
Submit Yours! Copy Question ID and
click hereVideo by:
d
15a)
a
Question ID: 100050150010
Submit Yours! Copy Question ID and
click hereQuestion by:
Answer by: ada
s
Question ID: 100050150010
Submit Yours! Copy Question ID and click here
Solution by: ada
v
Question ID: 100050150010
Submit Yours! Copy Question ID and
click hereVideo by:
d
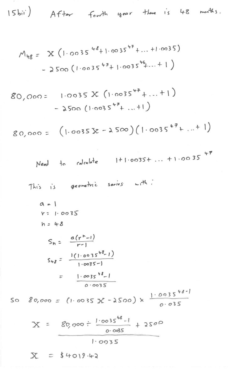
15bi)
a
Question ID: 100050150020
Submit Yours! Copy Question ID and
click hereQuestion by:
Answer by: ada
s
Question ID: 100050150020
Submit Yours! Copy Question ID and click here
Solution by: ada
v
Question ID: 100050150020
Submit Yours! Copy Question ID and
click hereVideo by:
d
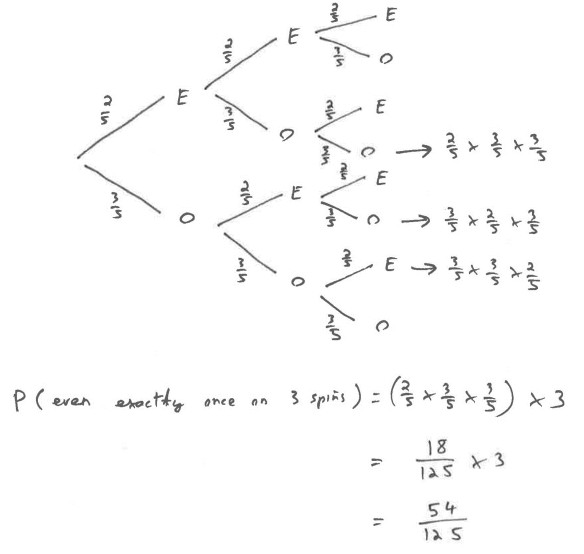
15bii)
a
Question ID: 100050150030
Submit Yours! Copy Question ID and
click hereQuestion by:
Answer by: ada
s
Question ID: 100050150030
Submit Yours! Copy Question ID and click here
Solution by: ada
v
Question ID: 100050150030
Submit Yours! Copy Question ID and
click hereVideo by:
d
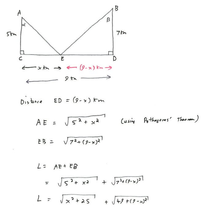
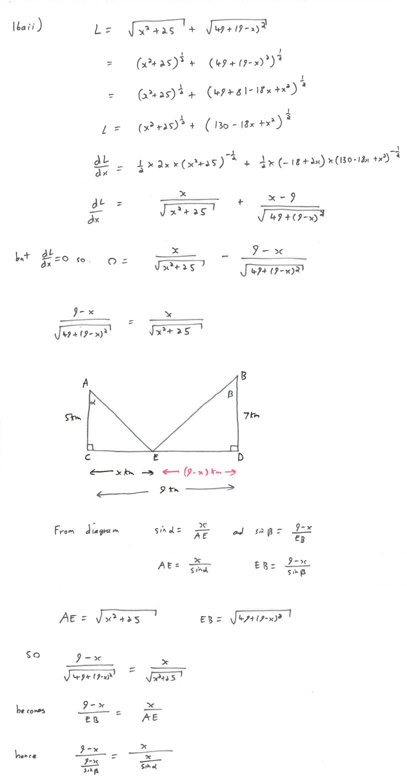
15ci)
a
Question ID: 100050150040
Submit Yours! Copy Question ID and
click hereQuestion by:
Answer by: ada
s
Question ID: 100050150040
Submit Yours! Copy Question ID and click here
Solution by: ada
v
Question ID: 100050150040
Submit Yours! Copy Question ID and
click hereVideo by:
d
15cii)
a
Question ID: 100050150050
Submit Yours! Copy Question ID and
click hereQuestion by:
Answer by: ada
s
Question ID: 100050150050
Submit Yours! Copy Question ID and click here
Solution by: ada
v
Question ID: 100050150050
Submit Yours! Copy Question ID and
click hereVideo by:
d
15ciii)
a
Question ID: 100050150060
Submit Yours! Copy Question ID and
click hereQuestion by:
Answer by: ada
s
Question ID: 100050150060
Submit Yours! Copy Question ID and click here
Solution by: ada
v
Question ID: 100050150060
Submit Yours! Copy Question ID and
click hereVideo by:
d
16ai)
a
Question ID: 100050160010
Submit Yours! Copy Question ID and
click hereQuestion by:
Answer by: ada
s
Question ID: 100050160010
Submit Yours! Copy Question ID and click here
Solution by: ada
v
Question ID: 100050160010
Submit Yours! Copy Question ID and
click hereVideo by:
d
16aii)
a
Question ID: 100050160020
Submit Yours! Copy Question ID and
click hereQuestion by:
Answer by: ada
s
Question ID: 100050160020
Submit Yours! Copy Question ID and click here
Solution by: ada
v
Question ID: 100050160020
Submit Yours! Copy Question ID and
click hereVideo by:
d
16aiii)
a
Question ID: 100050160030
Submit Yours! Copy Question ID and
click hereQuestion by:
Answer by: ada
s
Question ID: 100050160030
Submit Yours! Copy Question ID and click here
Solution by: ada
v
Question ID: 100050160030
Submit Yours! Copy Question ID and
click hereVideo by:
d
16aiv)
a
Question ID: 100050160040
Submit Yours! Copy Question ID and
click hereQuestion by:
Answer by: ada
s
Question ID: 100050160040
Submit Yours! Copy Question ID and click here
Solution by: ada
v
Question ID: 100050160040
Submit Yours! Copy Question ID and
click hereVideo by:
d
16b)
a
Question ID: 100050160050
Submit Yours! Copy Question ID and
click hereQuestion by:
Answer by: ada
s
Question ID: 100050160050
Submit Yours! Copy Question ID and click here
Solution by: ada
v
Question ID: 100050160050
Submit Yours! Copy Question ID and
click hereVideo by:
d
16ci)
a
Question ID: 100050160060
Submit Yours! Copy Question ID and
click hereQuestion by:
Answer by: ada
s
Question ID: 100050160060
Submit Yours! Copy Question ID and click here
Solution by: ada
v
Question ID: 100050160060
Submit Yours! Copy Question ID and
click hereVideo by:
d
16cii)
a
Question ID: 100050160070
Submit Yours! Copy Question ID and
click hereQuestion by:
Answer by: ada
s
Question ID: 100050160070
Submit Yours! Copy Question ID and click here
Solution by: ada
v
Question ID: 100050160070
Submit Yours! Copy Question ID and
click hereVideo by:
d
Answers
1)
2)
3)
4)
5)
6)
7)
8)
9)
10)
11a)
11b)
11c)
11d)
11ei)
11eii)
11f)
11g)
11h)
12a)
12b)
12c)
12di)
12dii)
12ei)
12eii)
12eiii)
12eiv)
13a)
13bi)
13bii)
13biii)
13c)
13d)
14a)
14bi)
14bii)
14biii)
14ci)
14cii)
14ciii)
14d)
15a)
15bi)
15bii)
15ci)
15cii)
15ciii)
16ai)
16aii)
16aiii)
16aiv)
16b)
16ci)
16cii)
Solutions
1)
2)
3)
4)
5)
6)
7)
8)
9)
10)
11a)
11b)
11c)
11d)
11ei)
11eii)
11f)
11g)
11h)
12a)
12b)
12c)
12di)
12dii)
12ei)
12eii)
12eiii)
12eiv)
13a)
13bi)
13bii)
13biii)
13c)
13d)
14a)
14bi)
14bii)
14biii)
14ci)
14cii)
14ciii)
14d)
15a)
15bi)
15bii)
15ci)
15cii)
15ciii)
16ai)
16aii)
16aiii)
16aiv)
16b)
16ci)
16cii)