2016 Mathematics HSC 2 Unit
Due to copyright restriction, we are not able to show the exam paper or questions on this website. As the answers, solutions and videos are our own work, these are all accessible on this page. Please use the following links to get a copy of the exam paper:
Exam Paper: click here Marking Guidelines: click here Notes from Marking Centre: click here
For all questions, see exam paper
1)
a
B
Question ID: 100070010010
Submit Yours! Copy Question ID and
click hereQuestion by:
Answer by: ada
s
v
Question ID: 100070010010
Submit Yours! Copy Question ID and
click hereVideo by:
d
2)
a
C
Question ID: 100070020010
Submit Yours! Copy Question ID and
click hereQuestion by:
Answer by: ada
s
v
Question ID: 100070020010
Submit Yours! Copy Question ID and
click hereVideo by:
d
3)
a
B
Question ID: 100070030010
Submit Yours! Copy Question ID and
click hereQuestion by:
Answer by: ada
s
v
Question ID: 100070030010
Submit Yours! Copy Question ID and
click hereVideo by:
d
4)
a
A
Question ID: 100070040010
Submit Yours! Copy Question ID and
click hereQuestion by:
Answer by: ada
s
An odd function look the same when rotated $180^\circ$ around the origin. Therefore A
Question ID: 100070040010
Submit Yours! Copy Question ID and click here
Solution by: ada
v
Question ID: 100070040010
Submit Yours! Copy Question ID and
click hereVideo by:
d
5)
a
B
Question ID: 100070050010
Submit Yours! Copy Question ID and
click hereQuestion by:
Answer by: ada
s
v
Question ID: 100070050010
Submit Yours! Copy Question ID and
click hereVideo by:
d
6)
a
A
Question ID: 100070060010
Submit Yours! Copy Question ID and
click hereQuestion by:
Answer by: ada
s
v
Question ID: 100070060010
Submit Yours! Copy Question ID and
click hereVideo by:
d
7)
a
A
Question ID: 100070070010
Submit Yours! Copy Question ID and
click hereQuestion by:
Answer by: ada
s
v
Question ID: 100070070010
Submit Yours! Copy Question ID and
click hereVideo by:
d
8)
a
D
Question ID: 100070080010
Submit Yours! Copy Question ID and
click hereQuestion by:
Answer by: ada
s
v
Question ID: 100070080010
Submit Yours! Copy Question ID and
click hereVideo by:
d
9)
a
C
Question ID: 100070090010
Submit Yours! Copy Question ID and
click hereQuestion by:
Answer by: ada
s
v
Question ID: 100070090010
Submit Yours! Copy Question ID and
click hereVideo by:
d
10)
a
D
Question ID: 100070100010
Submit Yours! Copy Question ID and
click hereQuestion by:
Answer by: ada
s
v
Question ID: 100070100010
Submit Yours! Copy Question ID and
click hereVideo by:
d
11a)
a
Question ID: 100070110010
Submit Yours! Copy Question ID and
click hereQuestion by:
Answer by:
itute.com
s
v
Question ID: 100070110010
Submit Yours! Copy Question ID and
click hereVideo by:
d
11b)
a
$-\frac{10}{(3x-4)^2}$
Question ID: 100070110020
Submit Yours! Copy Question ID and
click hereQuestion by:
Answer by: ada
s
v
Question ID: 100070110020
Submit Yours! Copy Question ID and
click hereVideo by:
d
11c)
a
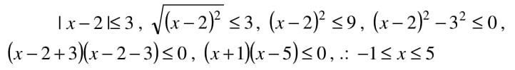
$-1\le x\le5$
Question ID: 100070110030
Submit Yours! Copy Question ID and
click hereQuestion by:
Answer by: ada
s
v
Question ID: 100070110030
Submit Yours! Copy Question ID and
click hereVideo by:
d
11d)
a
$10$
Question ID: 100070110040
Submit Yours! Copy Question ID and
click hereQuestion by:
Answer by: ada
s
v
Question ID: 100070110040
Submit Yours! Copy Question ID and
click hereVideo by:
d
11e)
a
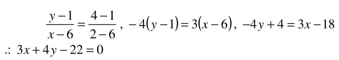
Points of intersection are $(4,-21)$ and $(-2,3)$
Question ID: 100070110050
Submit Yours! Copy Question ID and
click hereQuestion by:
Answer by: ada
s
v
Question ID: 100070110050
Submit Yours! Copy Question ID and
click hereVideo by:
d
11f)
a
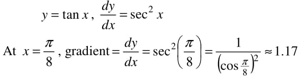
Gradient of tangent is $1.17$
Question ID: 100070110060
Submit Yours! Copy Question ID and
click hereQuestion by:
Answer by: ada
s
v
Question ID: 100070110060
Submit Yours! Copy Question ID and
click hereVideo by:
d
11g)
a
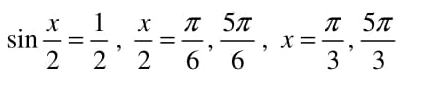
$x=\frac{\pi}{3},\frac{5\pi}{3}$
Question ID: 100070110070
Submit Yours! Copy Question ID and
click hereQuestion by:
Answer by: ada
s
v
Question ID: 100070110070
Submit Yours! Copy Question ID and
click hereVideo by:
d
12ai)
a
Show that question.
Look at solution.
Question ID: 100070120010
Submit Yours! Copy Question ID and
click hereQuestion by:
Answer by:
s
v
Question ID: 100070120010
Submit Yours! Copy Question ID and
click hereVideo by:
d
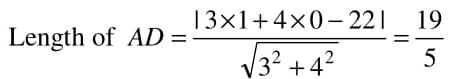
12aii)
a
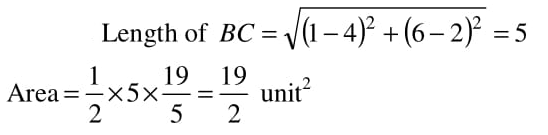
$AD=\frac{19}{5}$
Question ID: 100070120020
Submit Yours! Copy Question ID and
click hereQuestion by:
Answer by: ada
s
v
Question ID: 100070120020
Submit Yours! Copy Question ID and
click hereVideo by:
d
12aiii)
a
Area$=\frac{19}{2}$ square units
Question ID: 100070120030
Submit Yours! Copy Question ID and
click hereQuestion by:
Answer by: ada
s
v
Question ID: 100070120030
Submit Yours! Copy Question ID and
click hereVideo by:
d
12bi)
a
Show that question.
Look at solution.
Question ID: 100070120040
Submit Yours! Copy Question ID and
click hereQuestion by:
Answer by:
s
v
Question ID: 100070120040
Submit Yours! Copy Question ID and
click hereVideo by:
d
12bii)
a
$x=29$
Question ID: 100070120050
Submit Yours! Copy Question ID and
click hereQuestion by:
Answer by: ada
s
v
Question ID: 100070120050
Submit Yours! Copy Question ID and
click hereVideo by:
d
12c)
a
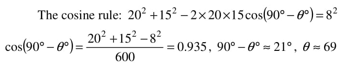
$\theta=69^\circ$ to the nearest degree
Question ID: 100070120060
Submit Yours! Copy Question ID and
click hereQuestion by:
Answer by: ada
s
v
Question ID: 100070120060
Submit Yours! Copy Question ID and
click hereVideo by:
d
12di)
a
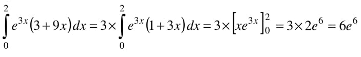
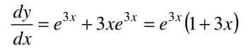
$\frac{dy}{dx}=e^{3x}(1+3x)$
Question ID: 100070120070
Submit Yours! Copy Question ID and
click hereQuestion by:
Answer by: ada
s
v
Question ID: 100070120070
Submit Yours! Copy Question ID and
click hereVideo by:
d
12dii)
a
$6e^6$
Question ID: 100070120080
Submit Yours! Copy Question ID and
click hereQuestion by:
Answer by: ada
s
v
Question ID: 100070120080
Submit Yours! Copy Question ID and
click hereVideo by:
d
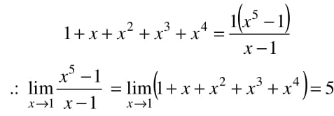
13ai)
a
Local maximum at $x=3$, ie at $(3,27)$
Question ID: 100070130010
Submit Yours! Copy Question ID and
click hereQuestion by:
Answer by: ada
s
v
Question ID: 100070130010
Submit Yours! Copy Question ID and
click hereVideo by:
d
13aii)
a
Question ID: 100070130020
Submit Yours! Copy Question ID and
click hereQuestion by:
Answer by:
itute.com
s
v
Question ID: 100070130020
Submit Yours! Copy Question ID and
click hereVideo by:
d
13bi)
a
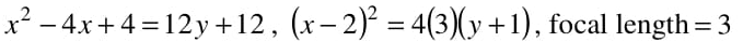
Focal Length$=3$
Question ID: 100070130030
Submit Yours! Copy Question ID and
click hereQuestion by:
Answer by: ada
s
v
Question ID: 100070130030
Submit Yours! Copy Question ID and
click hereVideo by:
d
13bii)
a
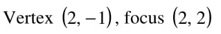
Focus $(2,2)$
Question ID: 100070130040
Submit Yours! Copy Question ID and
click hereQuestion by:
Answer by: ada
s
v
Question ID: 100070130040
Submit Yours! Copy Question ID and
click hereVideo by:
d
13ci)
a
A$=10$
Question ID: 100070130050
Submit Yours! Copy Question ID and
click hereQuestion by:
Answer by: ada
s
v
Question ID: 100070130050
Submit Yours! Copy Question ID and
click hereVideo by:
d
13cii)
a
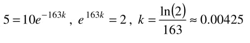
$k=\frac{\ln\left(\frac12\right)}{-163}$
$\approx0.004252436$
Question ID: 100070130060
Submit Yours! Copy Question ID and
click hereQuestion by:
Answer by: ada
s
v
Question ID: 100070130060
Submit Yours! Copy Question ID and
click hereVideo by:
d
13d)
a
$\frac{4}{\pi}-\frac12$ square units
or $\frac{8-\pi}{2\pi}$ square units
Question ID: 100070130070
Submit Yours! Copy Question ID and
click hereQuestion by:
Answer by: ada
s
v
Question ID: 100070130070
Submit Yours! Copy Question ID and
click hereVideo by:
d
14a)
a
Area$\approx1.4$m$^2$
Question ID: 100070140010
Submit Yours! Copy Question ID and
click hereQuestion by:
Answer by: ada
s
v
Question ID: 100070140010
Submit Yours! Copy Question ID and
click hereVideo by:
d
14bi)
a
Show that question.
Look at solution.
Question ID: 100070140020
Submit Yours! Copy Question ID and
click hereQuestion by:
Answer by:
s
v
Question ID: 100070140020
Submit Yours! Copy Question ID and
click hereVideo by:
d
14bii)
a
Show that question.
Look at solution.
Question ID: 100070140030
Submit Yours! Copy Question ID and
click hereQuestion by:
Answer by:
s
v
Question ID: 100070140030
Submit Yours! Copy Question ID and
click hereVideo by:
d
14biii)
a
$A_{14}\approx14500$
Question ID: 100070140040
Submit Yours! Copy Question ID and
click hereQuestion by:
Answer by: ada
s
v
Question ID: 100070140040
Submit Yours! Copy Question ID and
click hereVideo by:
d
14ci)
a
Show that question.
Look at solution.
Question ID: 100070140050
Submit Yours! Copy Question ID and
click hereQuestion by:
Answer by:
s
v
Question ID: 100070140050
Submit Yours! Copy Question ID and
click hereVideo by:
d
14cii)
a
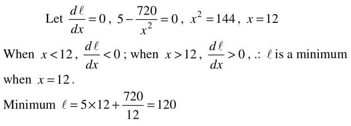
Minimum length$=120$
at $x=12$, $\frac{d^2l}{dx^2}=\frac{1440}{12^3}>0$ therefore a minimum.
Question ID: 100070140060
Submit Yours! Copy Question ID and
click hereQuestion by:
Answer by: ada
s
v
Question ID: 100070140060
Submit Yours! Copy Question ID and
click hereVideo by:
d
14d)
a
$5$
Question ID: 100070140070
Submit Yours! Copy Question ID and
click hereQuestion by:
Answer by: ada
s
v
Question ID: 100070140070
Submit Yours! Copy Question ID and
click hereVideo by:
d
14e)
a
$45\log2$
Question ID: 100070140080
Submit Yours! Copy Question ID and
click hereQuestion by:
Answer by: ada
s
v
Question ID: 100070140080
Submit Yours! Copy Question ID and
click hereVideo by:
d
15a)
a
$V=\frac{40\pi}{3}$
Question ID: 100070150010
Submit Yours! Copy Question ID and
click hereQuestion by:
Answer by: ada
s
v
Question ID: 100070150010
Submit Yours! Copy Question ID and
click hereVideo by:
d
15bi)
a
Explain question.
Look at solution.
Question ID: 100070150020
Submit Yours! Copy Question ID and
click hereQuestion by:
Answer by:
s
v
Question ID: 100070150020
Submit Yours! Copy Question ID and
click hereVideo by:
d
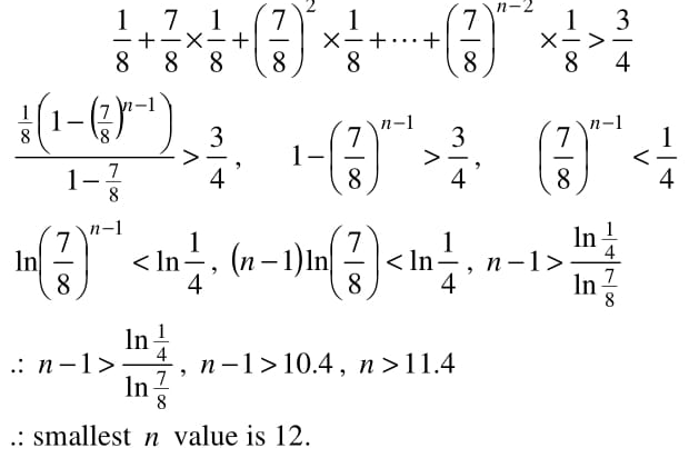
15bii)
a
$n=12$
Question ID: 100070150030
Submit Yours! Copy Question ID and
click hereQuestion by:
Answer by: ada
s
v
Question ID: 100070150030
Submit Yours! Copy Question ID and
click hereVideo by:
d
15ci)
a
Show that question.
Look at solution.
Question ID: 100070150040
Submit Yours! Copy Question ID and
click hereQuestion by:
Answer by:
s
v
Question ID: 100070150040
Submit Yours! Copy Question ID and
click hereVideo by:
d
15cii)
a
Show that question.
Look at solution.
Question ID: 100070150050
Submit Yours! Copy Question ID and
click hereQuestion by:
Answer by:
s
v
Question ID: 100070150050
Submit Yours! Copy Question ID and
click hereVideo by:
d
15ciii)
a
$h=\frac{y}{x}$
Question ID: 100070150060
Submit Yours! Copy Question ID and
click hereQuestion by:
Answer by: ada
s
v
Question ID: 100070150060
Submit Yours! Copy Question ID and
click hereVideo by:
d
16ai)
a
$v=-2$
Question ID: 100070160010
Submit Yours! Copy Question ID and
click hereQuestion by:
Answer by: ada
s
v
Question ID: 100070160010
Submit Yours! Copy Question ID and
click hereVideo by:
d
16aii)
a
$a=1$ms$^{-2}$
Question ID: 100070160020
Submit Yours! Copy Question ID and
click hereQuestion by:
Answer by: ada
s
v
Question ID: 100070160020
Submit Yours! Copy Question ID and
click hereVideo by:
d
16aiii)
a
Question ID: 100070160030
Submit Yours! Copy Question ID and
click hereQuestion by:
Answer by:
itute.com
s
v
Question ID: 100070160030
Submit Yours! Copy Question ID and
click hereVideo by:
d
16aiv)
a
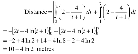
Distance travelled$=10+8\log2-4\log2^3$
or distance travelled$=10+8\log2-12\log2$
or distance travelled$=10-4\log2$
Question ID: 100070160040
Submit Yours! Copy Question ID and
click hereQuestion by:
Answer by: ada
s
v
Question ID: 100070160040
Submit Yours! Copy Question ID and
click hereVideo by:
d
16bi)
a
Show that question.
Look at solution.
Question ID: 100070160050
Submit Yours! Copy Question ID and
click hereQuestion by:
Answer by:
s
v
Question ID: 100070160050
Submit Yours! Copy Question ID and
click hereVideo by:
d
16bii)
a
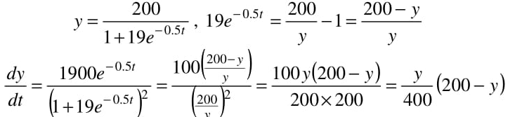
$10\le y<200$
Question ID: 100070160060
Submit Yours! Copy Question ID and
click hereQuestion by:
Answer by: ada
s
v
Question ID: 100070160060
Submit Yours! Copy Question ID and
click hereVideo by:
d
16biii)
a
Show that question.
Look at solution.
Question ID: 100070160070
Submit Yours! Copy Question ID and
click hereQuestion by:
Answer by:
s
v
Question ID: 100070160070
Submit Yours! Copy Question ID and
click hereVideo by:
d
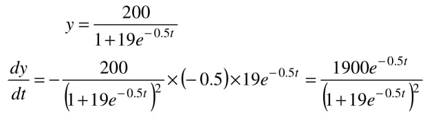
16biv)
a
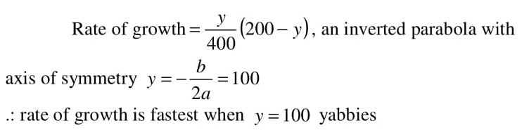
Population growing fastest when population is $y=100$
Question ID: 100070160080
Submit Yours! Copy Question ID and
click hereQuestion by:
Answer by: ada
s
v
Question ID: 100070160080
Submit Yours! Copy Question ID and
click hereVideo by:
d
Answers
1) B
2) C
3) B
4) A
5) B
6) A
7) A
8) D
9) C
10) D
11a)
11b) $-\frac{10}{(3x-4)^2}$
11c) $-1\le x\le5$
11d) $10$
11e) Points of intersection are $(4,-21)$ and $(-2,3)$
11f) Gradient of tangent is $1.17$
11g) $x=\frac{\pi}{3},\frac{5\pi}{3}$
12ai) Show that question.
Look at solution.
12aii) $AD=\frac{19}{5}$
12aiii) Area$=\frac{19}{2}$ square units
12bi) Show that question.
Look at solution.
12bii) $x=29$
12c) $\theta=69^\circ$ to the nearest degree
12di) $\frac{dy}{dx}=e^{3x}(1+3x)$
12dii) $6e^6$
13ai) Local maximum at $x=3$, ie at $(3,27)$
13aii)
13bi) Focal Length$=3$
13bii) Focus $(2,2)$
13ci) A$=10$
13cii) $k=\frac{\ln\left(\frac12\right)}{-163}$
$\approx0.004252436$
13d) $\frac{4}{\pi}-\frac12$ square units
or $\frac{8-\pi}{2\pi}$ square units
14a) Area$\approx1.4$m$^2$
14bi) Show that question.
Look at solution.
14bii) Show that question.
Look at solution.
14biii) $A_{14}\approx14500$
14ci) Show that question.
Look at solution.
14cii) Minimum length$=120$
at $x=12$, $\frac{d^2l}{dx^2}=\frac{1440}{12^3}>0$ therefore a minimum.
14d) $5$
14e) $45\log2$
15a) $V=\frac{40\pi}{3}$
15bi) Explain question.
Look at solution.
15bii) $n=12$
15ci) Show that question.
Look at solution.
15cii) Show that question.
Look at solution.
15ciii) $h=\frac{y}{x}$
16ai) $v=-2$
16aii) $a=1$ms$^{-2}$
16aiii)
16aiv) Distance travelled$=10+8\log2-4\log2^3$
or distance travelled$=10+8\log2-12\log2$
or distance travelled$=10-4\log2$
16bi) Show that question.
Look at solution.
16bii) $10\le y<200$
16biii) Show that question.
Look at solution.
16biv) Population growing fastest when population is $y=100$
Solutions
1)
2)
3)
4) An odd function look the same when rotated $180^\circ$ around the origin. Therefore A
5)
6)
7)
8)
9)
10)
11a)
11b)
11c)
11d)
11e)
11f)
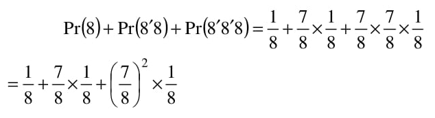
11g)
12ai)
12aii)
12aiii)
12bi)
12bii)
12c)
12di)
12dii)
13ai)
13aii)
13bi)
13bii)
13ci)
13cii)
13d)
14a)
14bi)
14bii)
14biii)
14ci)
14cii)
14d)
14e)
15a)
15bi)
15bii)
15ci)
15cii)
15ciii)
16ai)
16aii)
16aiii)
16aiv)
16bi)
16bii)
16biii)
16biv)