Algebra - Factorising Monic Quadratics
Question 1
Fully factorise
a) $x^2+5x+6$
a
$(x+2)(x+3)$
Question ID: 20090020010
Something wrong? Copy Question ID and
contact usSubmit yours! Copy Question ID and
click hereQuestion by: ada
Answer by: ada
s
Question ID: 20090020010
Submit Yours! Copy Question ID and
click hereSolution by: ada
v
Question ID: 20090020010
Submit Yours! Copy Question ID and
click hereVideo by: ada
b) $x^2+9x+20$
a
$(x+4)(x+5)$
Question ID: 20090020020
Something wrong? Copy Question ID and
contact usSubmit yours! Copy Question ID and
click hereQuestion by: ada
Answer by: ada
s
Question ID: 20090020020
Submit Yours! Copy Question ID and
click hereSolution by: ada
v
Question ID: 20090020020
Submit Yours! Copy Question ID and
click hereVideo by: ada
c) $x^2+16x+60$
a
$(x+6)(x+10)$
Question ID: 20090020030
Something wrong? Copy Question ID and
contact usSubmit yours! Copy Question ID and
click hereQuestion by: ada
Answer by: ada
s
Question ID: 20090020030
Submit Yours! Copy Question ID and
click hereSolution by: ada
v
Question ID: 20090020030
Submit Yours! Copy Question ID and
click hereVideo by: ada
d) $x^2+11x+18$
a
$(x+2)(x+9)$
Question ID: 20090020040
Something wrong? Copy Question ID and
contact usSubmit yours! Copy Question ID and
click hereQuestion by: ada
Answer by: ada
s
Question ID: 20090020040
Submit Yours! Copy Question ID and
click hereSolution by:
v
Question ID: 20090020040
Submit Yours! Copy Question ID and
click hereVideo by:
e) $x^2+20x+99$
a
$(x+9)(x+11)$
Question ID: 20090020050
Something wrong? Copy Question ID and
contact usSubmit yours! Copy Question ID and
click hereQuestion by: ada
Answer by: ada
s
Question ID: 20090020050
Submit Yours! Copy Question ID and
click hereSolution by:
v
Question ID: 20090020050
Submit Yours! Copy Question ID and
click hereVideo by:
f) $x^2+15x+36$
a
$(x+3)(x+12)$
Question ID: 20090020060
Something wrong? Copy Question ID and
contact usSubmit yours! Copy Question ID and
click hereQuestion by: ada
Answer by: ada
s
Question ID: 20090020060
Submit Yours! Copy Question ID and
click hereSolution by:
v
Question ID: 20090020060
Submit Yours! Copy Question ID and
click hereVideo by:
g) $x^2+17x+30$
a
$(x+2)(x+15)$
Question ID: 20090020070
Something wrong? Copy Question ID and
contact usSubmit yours! Copy Question ID and
click hereQuestion by: ada
Answer by: ada
s
Question ID: 20090020070
Submit Yours! Copy Question ID and
click hereSolution by:
v
Question ID: 20090020070
Submit Yours! Copy Question ID and
click hereVideo by:
h) $x^2+11x+28$
a
$(x+4)(x+7)$
Question ID: 20090020080
Something wrong? Copy Question ID and
contact usSubmit yours! Copy Question ID and
click hereQuestion by: ada
Answer by: ada
s
Question ID: 20090020080
Submit Yours! Copy Question ID and
click hereSolution by:
v
Question ID: 20090020080
Submit Yours! Copy Question ID and
click hereVideo by:
i) $x^2+14x+48$
a
$(x+6)(x+8)$
Question ID: 20090020090
Something wrong? Copy Question ID and
contact usSubmit yours! Copy Question ID and
click hereQuestion by: ada
Answer by: ada
s
Question ID: 20090020090
Submit Yours! Copy Question ID and
click hereSolution by:
v
Question ID: 20090020090
Submit Yours! Copy Question ID and
click hereVideo by:
j) $x^2+19x+48$
a
$(x+3)(x+16)$
Question ID: 20090020100
Something wrong? Copy Question ID and
contact usSubmit yours! Copy Question ID and
click hereQuestion by: ada
Answer by: ada
s
Question ID: 20090020100
Submit Yours! Copy Question ID and
click hereSolution by:
v
Question ID: 20090020100
Submit Yours! Copy Question ID and
click hereVideo by:
Question 2
Fully factorise
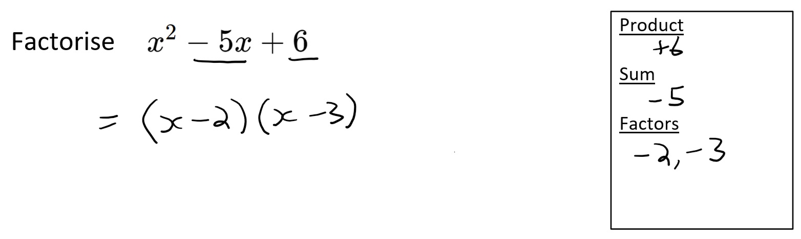
a) $x^2-5x+6$
a
$(x-2)(x-3)$
Question ID: 20090030010
Something wrong? Copy Question ID and
contact usSubmit yours! Copy Question ID and
click hereQuestion by: ada
Answer by: ada
s
Question ID: 20090030010
Submit Yours! Copy Question ID and
click hereSolution by: ada
v
Question ID: 20090030010
Submit Yours! Copy Question ID and
click hereVideo by: ada
b) $x^2-8x+15$
a
$(x-3)(x-5)$
Question ID: 20090030020
Something wrong? Copy Question ID and
contact usSubmit yours! Copy Question ID and
click hereQuestion by: ada
Answer by: ada
s
Question ID: 20090030020
Submit Yours! Copy Question ID and
click hereSolution by:
v
Question ID: 20090030020
Submit Yours! Copy Question ID and
click hereVideo by:
c) $x^2-13x+40$
a
$(x-5)(x-8)$
Question ID: 20090030030
Something wrong? Copy Question ID and
contact usSubmit yours! Copy Question ID and
click hereQuestion by: ada
Answer by: ada
s
Question ID: 20090030030
Submit Yours! Copy Question ID and
click hereSolution by:
v
Question ID: 20090030030
Submit Yours! Copy Question ID and
click hereVideo by:
d) $x^2-11x+10$
a
$(x-1)(x-10)$
Question ID: 20090030040
Something wrong? Copy Question ID and
contact usSubmit yours! Copy Question ID and
click hereQuestion by: ada
Answer by: ada
s
Question ID: 20090030040
Submit Yours! Copy Question ID and
click hereSolution by:
v
Question ID: 20090030040
Submit Yours! Copy Question ID and
click hereVideo by:
e) $x^2-11x+28$
a
$(x-4)(x-7)$
Question ID: 20090030050
Something wrong? Copy Question ID and
contact usSubmit yours! Copy Question ID and
click hereQuestion by: ada
Answer by: ada
s
Question ID: 20090030050
Submit Yours! Copy Question ID and
click hereSolution by:
v
Question ID: 20090030050
Submit Yours! Copy Question ID and
click hereVideo by:
f) $x^2-19x+90$
a
$(x-9)(x-10)$
Question ID: 20090030060
Something wrong? Copy Question ID and
contact usSubmit yours! Copy Question ID and
click hereQuestion by: ada
Answer by: ada
s
Question ID: 20090030060
Submit Yours! Copy Question ID and
click hereSolution by:
v
Question ID: 20090030060
Submit Yours! Copy Question ID and
click hereVideo by:
g) $x^2-7x+6$
a
$(x-1)(x-6)$
Question ID: 20090030070
Something wrong? Copy Question ID and
contact usSubmit yours! Copy Question ID and
click hereQuestion by: ada
Answer by: ada
s
Question ID: 20090030070
Submit Yours! Copy Question ID and
click hereSolution by:
v
Question ID: 20090030070
Submit Yours! Copy Question ID and
click hereVideo by:
h) $x^2-8x+12$
a
$(x-2)(x-6)$
Question ID: 20090030080
Something wrong? Copy Question ID and
contact usSubmit yours! Copy Question ID and
click hereQuestion by: ada
Answer by: ada
s
Question ID: 20090030080
Submit Yours! Copy Question ID and
click hereSolution by:
v
Question ID: 20090030080
Submit Yours! Copy Question ID and
click hereVideo by:
i) $x^2-9x+18$
a
$(x-3)(x-6)$
Question ID: 20090030090
Something wrong? Copy Question ID and
contact usSubmit yours! Copy Question ID and
click hereQuestion by: ada
Answer by: ada
s
Question ID: 20090030090
Submit Yours! Copy Question ID and
click hereSolution by:
v
Question ID: 20090030090
Submit Yours! Copy Question ID and
click hereVideo by:
j) $x^2-13x+36$
a
$(x-4)(x-9)$
Question ID: 20090030100
Something wrong? Copy Question ID and
contact usSubmit yours! Copy Question ID and
click hereQuestion by: ada
Answer by: ada
s
Question ID: 20090030100
Submit Yours! Copy Question ID and
click hereSolution by:
v
Question ID: 20090030100
Submit Yours! Copy Question ID and
click hereVideo by:
Question 3
Fully factorise
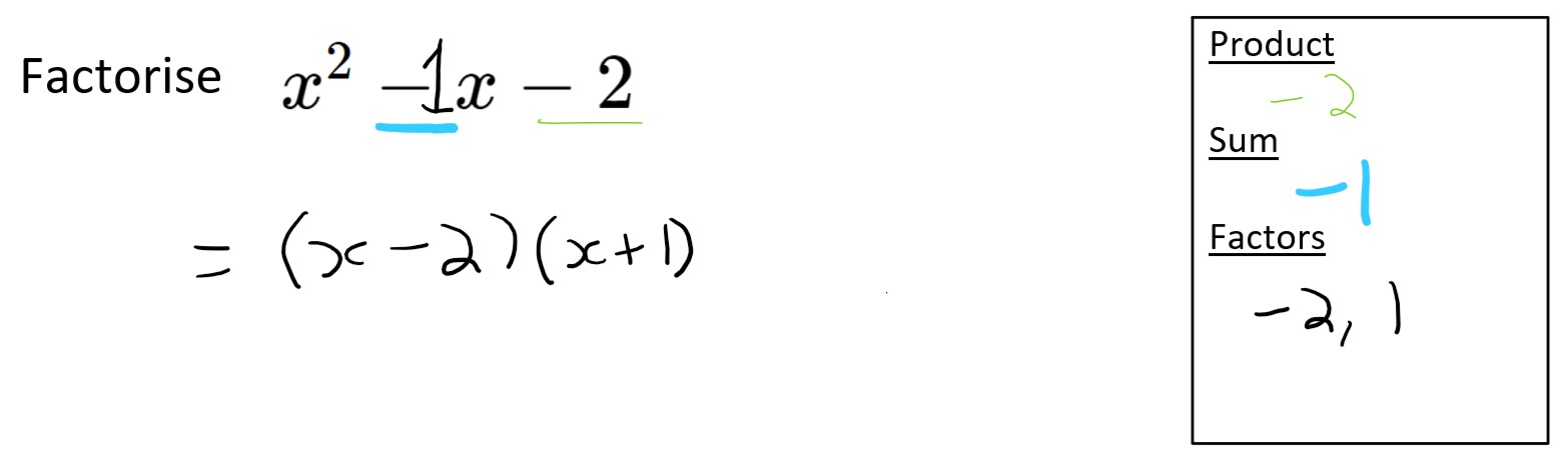
a) $x^2-x-2$
a
$(x+1)(x-2)$
Question ID: 20090040010
Something wrong? Copy Question ID and
contact usSubmit yours! Copy Question ID and
click hereQuestion by: ada
Answer by: ada
s
Question ID: 20090040010
Submit Yours! Copy Question ID and
click hereSolution by: ada
v
Question ID: 20090040010
Submit Yours! Copy Question ID and
click hereVideo by: ada
b) $x^2-2x-15$
a
$(x+3)(x-5)$
Question ID: 20090040020
Something wrong? Copy Question ID and
contact usSubmit yours! Copy Question ID and
click hereQuestion by: ada
Answer by: ada
s
Question ID: 20090040020
Submit Yours! Copy Question ID and
click hereSolution by:
v
Question ID: 20090040020
Submit Yours! Copy Question ID and
click hereVideo by:
c) $x^2-5x-14$
a
$(x+2)(x-7)$
Question ID: 20090040030
Something wrong? Copy Question ID and
contact usSubmit yours! Copy Question ID and
click hereQuestion by: ada
Answer by: ada
s
Question ID: 20090040030
Submit Yours! Copy Question ID and
click hereSolution by:
v
Question ID: 20090040030
Submit Yours! Copy Question ID and
click hereVideo by:
d) $x^2+2x-15$
a
$(x+5)(x-3)$
Question ID: 20090040040
Something wrong? Copy Question ID and
contact usSubmit yours! Copy Question ID and
click hereQuestion by: ada
Answer by: ada
s
Question ID: 20090040040
Submit Yours! Copy Question ID and
click hereSolution by:
v
Question ID: 20090040040
Submit Yours! Copy Question ID and
click hereVideo by:
e) $x^2+2x-35$
a
$(x+7)(x-5)$
Question ID: 20090040050
Something wrong? Copy Question ID and
contact usSubmit yours! Copy Question ID and
click hereQuestion by: ada
Answer by: ada
s
Question ID: 20090040050
Submit Yours! Copy Question ID and
click hereSolution by:
v
Question ID: 20090040050
Submit Yours! Copy Question ID and
click hereVideo by:
f) $x^2-4x-77$
a
$(x+7)(x-11)$
Question ID: 20090040060
Something wrong? Copy Question ID and
contact usSubmit yours! Copy Question ID and
click hereQuestion by: ada
Answer by: ada
s
Question ID: 20090040060
Submit Yours! Copy Question ID and
click hereSolution by:
v
Question ID: 20090040060
Submit Yours! Copy Question ID and
click hereVideo by:
g) $x^2-x-20$
a
$(x+4)(x-5)$
Question ID: 20090040070
Something wrong? Copy Question ID and
contact usSubmit yours! Copy Question ID and
click hereQuestion by: ada
Answer by: ada
s
Question ID: 20090040070
Submit Yours! Copy Question ID and
click hereSolution by:
v
Question ID: 20090040070
Submit Yours! Copy Question ID and
click hereVideo by:
h) $x^2+6x-27$
a
$(x+9)(x-3)$
Question ID: 20090040080
Something wrong? Copy Question ID and
contact usSubmit yours! Copy Question ID and
click hereQuestion by: ada
Answer by: ada
s
Question ID: 20090040080
Submit Yours! Copy Question ID and
click hereSolution by:
v
Question ID: 20090040080
Submit Yours! Copy Question ID and
click hereVideo by:
i) $x^2+2x-24$
a
$(x+6)(x-4)$
Question ID: 20090040090
Something wrong? Copy Question ID and
contact usSubmit yours! Copy Question ID and
click hereQuestion by: ada
Answer by: ada
s
Question ID: 20090040090
Submit Yours! Copy Question ID and
click hereSolution by:
v
Question ID: 20090040090
Submit Yours! Copy Question ID and
click hereVideo by:
j) $x^2-4x-96$
a
$(x+8)(x-12)$
Question ID: 20090040100
Something wrong? Copy Question ID and
contact usSubmit yours! Copy Question ID and
click hereQuestion by: ada
Answer by: ada
s
Question ID: 20090040100
Submit Yours! Copy Question ID and
click hereSolution by:
v
Question ID: 20090040100
Submit Yours! Copy Question ID and
click hereVideo by:
Question 4
Fully factorise
a) $x^2+10x+21$
a
$(x+3)(x+7)$
Question ID: 20090050010
Something wrong? Copy Question ID and
contact usSubmit yours! Copy Question ID and
click hereQuestion by: ada
Answer by: ada
s
Question ID: 20090050010
Submit Yours! Copy Question ID and
click hereSolution by: ada
v
Question ID: 20090050010
Submit Yours! Copy Question ID and
click hereVideo by: ada
b) $x^2-12x+35$
a
$(x-7)(x-5)$
Question ID: 20090050020
Something wrong? Copy Question ID and
contact usSubmit yours! Copy Question ID and
click hereQuestion by: ada
Answer by: ada
s
Question ID: 20090050020
Submit Yours! Copy Question ID and
click hereSolution by: ada
v
Question ID: 20090050020
Submit Yours! Copy Question ID and
click hereVideo by: ada
c) $x^2+2x-15$
a
$(x+5)(x-3)$
Question ID: 20090050030
Something wrong? Copy Question ID and
contact usSubmit yours! Copy Question ID and
click hereQuestion by: ada
Answer by: ada
s
Question ID: 20090050030
Submit Yours! Copy Question ID and
click hereSolution by: ada
v
Question ID: 20090050030
Submit Yours! Copy Question ID and
click hereVideo by: ada
d) $x^2+4x-12$
a
$(x-2)(x+6)$
Question ID: 20090050040
Something wrong? Copy Question ID and
contact usSubmit yours! Copy Question ID and
click hereQuestion by: ada
Answer by: ada
s
Question ID: 20090050040
Submit Yours! Copy Question ID and
click hereSolution by:
v
Question ID: 20090050040
Submit Yours! Copy Question ID and
click hereVideo by:
e) $x^2-12x+32$
a
$(x-4)(x-8)$
Question ID: 20090050050
Something wrong? Copy Question ID and
contact usSubmit yours! Copy Question ID and
click hereQuestion by: ada
Answer by: ada
s
Question ID: 20090050050
Submit Yours! Copy Question ID and
click hereSolution by:
v
Question ID: 20090050050
Submit Yours! Copy Question ID and
click hereVideo by:
f) $x^2+18x+80$
a
$(x+8)(x+10)$
Question ID: 20090050060
Something wrong? Copy Question ID and
contact usSubmit yours! Copy Question ID and
click hereQuestion by: ada
Answer by: ada
s
Question ID: 20090050060
Submit Yours! Copy Question ID and
click hereSolution by:
v
Question ID: 20090050060
Submit Yours! Copy Question ID and
click hereVideo by:
g) $x^2-22x+120$
a
$(x-10)(x-12)$
Question ID: 20090050070
Something wrong? Copy Question ID and
contact usSubmit yours! Copy Question ID and
click hereQuestion by: ada
Answer by: ada
s
Question ID: 20090050070
Submit Yours! Copy Question ID and
click hereSolution by:
v
Question ID: 20090050070
Submit Yours! Copy Question ID and
click hereVideo by:
h) $x^2+6x-72$
a
$(x-6)(x+12)$
Question ID: 20090050080
Something wrong? Copy Question ID and
contact usSubmit yours! Copy Question ID and
click hereQuestion by: ada
Answer by: ada
s
Question ID: 20090050080
Submit Yours! Copy Question ID and
click hereSolution by:
v
Question ID: 20090050080
Submit Yours! Copy Question ID and
click hereVideo by:
i) $x^2-30x+216$
a
$(x-12)(x-18)$
Question ID: 20090050090
Something wrong? Copy Question ID and
contact usSubmit yours! Copy Question ID and
click hereQuestion by: ada
Answer by: ada
s
Question ID: 20090050090
Submit Yours! Copy Question ID and
click hereSolution by:
v
Question ID: 20090050090
Submit Yours! Copy Question ID and
click hereVideo by:
j) $x^2+3x-180$
a
$(x+15)(x-12)$
Question ID: 20090050100
Something wrong? Copy Question ID and
contact usSubmit yours! Copy Question ID and
click hereQuestion by: ada
Answer by: ada
s
Question ID: 20090050100
Submit Yours! Copy Question ID and
click hereSolution by:
v
Question ID: 20090050100
Submit Yours! Copy Question ID and
click hereVideo by:
Question 5
Find a common factor before factorising the quadratic
a) $2x^2+8x+6$
a
$2(x+1)(x+3)$
Question ID: 20090060010
Something wrong? Copy Question ID and
contact usSubmit yours! Copy Question ID and
click hereQuestion by: ada
Answer by: ada
s
Question ID: 20090060010
Submit Yours! Copy Question ID and
click hereSolution by: ada
v
Question ID: 20090060010
Submit Yours! Copy Question ID and
click hereVideo by: ada
b) $2x^2-16x+30$
a
$2(x-3)(x-5)$
Question ID: 20090060020
Something wrong? Copy Question ID and
contact usSubmit yours! Copy Question ID and
click hereQuestion by: ada
Answer by: ada
s
Question ID: 20090060020
Submit Yours! Copy Question ID and
click hereSolution by: ada
v
Question ID: 20090060020
Submit Yours! Copy Question ID and
click hereVideo by: ada
c) $5x^2-5x-10$
a
$5(x+1)(x-2)$
Question ID: 20090060030
Something wrong? Copy Question ID and
contact usSubmit yours! Copy Question ID and
click hereQuestion by: ada
Answer by: ada
s
Question ID: 20090060030
Submit Yours! Copy Question ID and
click hereSolution by: ada
v
Question ID: 20090060030
Submit Yours! Copy Question ID and
click hereVideo by: ada
d) $6x^2-36x+30$
a
$6(x-1)(x-5)$
Question ID: 20090060040
Something wrong? Copy Question ID and
contact usSubmit yours! Copy Question ID and
click hereQuestion by: ada
Answer by: ada
s
Question ID: 20090060040
Submit Yours! Copy Question ID and
click hereSolution by:
v
Question ID: 20090060040
Submit Yours! Copy Question ID and
click hereVideo by:
e) $10x^2-40x-600$
a
$10(x+6)(x-10)$
Question ID: 20090060050
Something wrong? Copy Question ID and
contact usSubmit yours! Copy Question ID and
click hereQuestion by: ada
Answer by: ada
s
Question ID: 20090060050
Submit Yours! Copy Question ID and
click hereSolution by:
v
Question ID: 20090060050
Submit Yours! Copy Question ID and
click hereVideo by:
f) $x^3+8x^2+15x$
a
$x(x+3)(x+5)$
Question ID: 20090060060
Something wrong? Copy Question ID and
contact usSubmit yours! Copy Question ID and
click hereQuestion by: ada
Answer by: ada
s
Question ID: 20090060060
Submit Yours! Copy Question ID and
click hereSolution by:
v
Question ID: 20090060060
Submit Yours! Copy Question ID and
click hereVideo by:
g) $2x^4+4x^3-48x^2$
a
$2x^2(x-4)(x+6)$
Question ID: 20090060070
Something wrong? Copy Question ID and
contact usSubmit yours! Copy Question ID and
click hereQuestion by: ada
Answer by: ada
s
Question ID: 20090060070
Submit Yours! Copy Question ID and
click hereSolution by:
v
Question ID: 20090060070
Submit Yours! Copy Question ID and
click hereVideo by:
h) $-x^2-12x-35$
a
$-(x+5)(x+7)$
Question ID: 20090060080
Something wrong? Copy Question ID and
contact usSubmit yours! Copy Question ID and
click hereQuestion by: ada
Answer by: ada
s
Question ID: 20090060080
Submit Yours! Copy Question ID and
click hereSolution by:
v
Question ID: 20090060080
Submit Yours! Copy Question ID and
click hereVideo by:
i) $-x^2-7x+18$
a
$-(x-2)(x+9)$
Question ID: 20090060090
Something wrong? Copy Question ID and
contact usSubmit yours! Copy Question ID and
click hereQuestion by: ada
Answer by: ada
s
Question ID: 20090060090
Submit Yours! Copy Question ID and
click hereSolution by:
v
Question ID: 20090060090
Submit Yours! Copy Question ID and
click hereVideo by:
j) $-3x^2-18x-24$
a
$-3(x+4)(x+2)$
Question ID: 20090060100
Something wrong? Copy Question ID and
contact usSubmit yours! Copy Question ID and
click hereQuestion by: ada
Answer by: ada
s
Question ID: 20090060100
Submit Yours! Copy Question ID and
click hereSolution by:
v
Question ID: 20090060100
Submit Yours! Copy Question ID and
click hereVideo by:
k) $-9x^2+72x-108$
a
$-9(x-2)(x-6)$
Question ID: 20090060110
Something wrong? Copy Question ID and
contact usSubmit yours! Copy Question ID and
click hereQuestion by: ada
Answer by: ada
s
Question ID: 20090060110
Submit Yours! Copy Question ID and
click hereSolution by:
v
Question ID: 20090060110
Submit Yours! Copy Question ID and
click hereVideo by:
l) $-13x^2-26x+624$
a
$-13(x+6)(x-8)$
Question ID: 20090060120
Something wrong? Copy Question ID and
contact usSubmit yours! Copy Question ID and
click hereQuestion by: ada
Answer by: ada
s
Question ID: 20090060120
Submit Yours! Copy Question ID and
click hereSolution by:
v
Question ID: 20090060120
Submit Yours! Copy Question ID and
click hereVideo by:
m) $-x^3-4x^2+12x$
a
$-x(x+6)(x-2)$
Question ID: 20090060130
Something wrong? Copy Question ID and
contact usSubmit yours! Copy Question ID and
click hereQuestion by: ada
Answer by: ada
s
Question ID: 20090060130
Submit Yours! Copy Question ID and
click hereSolution by:
v
Question ID: 20090060130
Submit Yours! Copy Question ID and
click hereVideo by:
n) $-4x^5-60x^4+400x^3$
a
$-4x^3(x-5)(x+20)$
Question ID: 20090060140
Something wrong? Copy Question ID and
contact usSubmit yours! Copy Question ID and
click hereQuestion by: ada
Answer by: ada
s
Question ID: 20090060140
Submit Yours! Copy Question ID and
click hereSolution by:
v
Question ID: 20090060140
Submit Yours! Copy Question ID and
click hereVideo by:
Question 6
Fully factorise
a) $y^2+7y+10$
a
$(y+2)(y+5)$
Question ID: 20090070010
Something wrong? Copy Question ID and
contact usSubmit yours! Copy Question ID and
click hereQuestion by: ada
Answer by: ada
s
Question ID: 20090070010
Submit Yours! Copy Question ID and
click hereSolution by:
v
Question ID: 20090070010
Submit Yours! Copy Question ID and
click hereVideo by:
b) $x^4+7x^2+10$
a
$(x^2+2)(x^2+5)$
Question ID: 20090070020
Something wrong? Copy Question ID and
contact usSubmit yours! Copy Question ID and
click hereQuestion by: ada
Answer by: ada
s
Question ID: 20090070020
Submit Yours! Copy Question ID and
click hereSolution by:
v
Question ID: 20090070020
Submit Yours! Copy Question ID and
click hereVideo by:
c) $z^4-11z^2+30$
a
$(z^2-5)(z^2-6)$
Question ID: 20090070030
Something wrong? Copy Question ID and
contact usSubmit yours! Copy Question ID and
click hereQuestion by: ada
Answer by: ada
s
Question ID: 20090070030
Submit Yours! Copy Question ID and
click hereSolution by:
v
Question ID: 20090070030
Submit Yours! Copy Question ID and
click hereVideo by:
d) $h^6+12h^3+32$
a
$(h^3+4)(h^3+8)$
Question ID: 20090070040
Something wrong? Copy Question ID and
contact usSubmit yours! Copy Question ID and
click hereQuestion by: ada
Answer by: ada
s
Question ID: 20090070040
Submit Yours! Copy Question ID and
click hereSolution by:
v
Question ID: 20090070040
Submit Yours! Copy Question ID and
click hereVideo by:
e) $2x^4+12x^2-80$
a
$2(x^2-4)(x^2+10)$
Question ID: 20090070050
Something wrong? Copy Question ID and
contact usSubmit yours! Copy Question ID and
click hereQuestion by: ada
Answer by: ada
s
Question ID: 20090070050
Submit Yours! Copy Question ID and
click hereSolution by:
v
Question ID: 20090070050
Submit Yours! Copy Question ID and
click hereVideo by:
f) $\frac{x^2}{2}+3x+4$
a
$\frac12(x+4)(x+2)$
Question ID: 20090070060
Something wrong? Copy Question ID and
contact usSubmit yours! Copy Question ID and
click hereQuestion by: ada
Answer by: ada
s
Question ID: 20090070060
Submit Yours! Copy Question ID and
click hereSolution by:
v
Question ID: 20090070060
Submit Yours! Copy Question ID and
click hereVideo by:
g) $\frac{x^2}{3}-\frac43-32$
a
$\frac13(x+8)(x-12)$
Question ID: 20090070070
Something wrong? Copy Question ID and
contact usSubmit yours! Copy Question ID and
click hereQuestion by: ada
Answer by: ada
s
Question ID: 20090070070
Submit Yours! Copy Question ID and
click hereSolution by:
v
Question ID: 20090070070
Submit Yours! Copy Question ID and
click hereVideo by:
h) $\frac{2x^2}{5}-\frac{34}{5}+28$
a
$\frac25(x-10)(x-7)$
Question ID: 20090070080
Something wrong? Copy Question ID and
contact usSubmit yours! Copy Question ID and
click hereQuestion by: ada
Answer by: ada
s
Question ID: 20090070080
Submit Yours! Copy Question ID and
click hereSolution by:
v
Question ID: 20090070080
Submit Yours! Copy Question ID and
click hereVideo by:
i) $\frac{x^3}{5}+\frac{x^2}{5}-\frac{2x}{5}$
a
$\frac x5(x-1)(x+2)$
Question ID: 20090070090
Something wrong? Copy Question ID and
contact usSubmit yours! Copy Question ID and
click hereQuestion by: ada
Answer by: ada
s
Question ID: 20090070090
Submit Yours! Copy Question ID and
click hereSolution by:
v
Question ID: 20090070090
Submit Yours! Copy Question ID and
click hereVideo by:
j) $\frac{x^4}{8}+\frac{x^3}{8}-\frac{105x^2}{4}$
a
$\frac{x^2}{8}(x+15)(x-14)$
Question ID: 20090070100
Something wrong? Copy Question ID and
contact usSubmit yours! Copy Question ID and
click hereQuestion by: ada
Answer by: ada
s
Question ID: 20090070100
Submit Yours! Copy Question ID and
click hereSolution by:
v
Question ID: 20090070100
Submit Yours! Copy Question ID and
click hereVideo by:
Question 1
Fully factorise
a) $x^2+5x+6$
b) $x^2+9x+20$
c) $x^2+16x+60$
d) $x^2+11x+18$
e) $x^2+20x+99$
f) $x^2+15x+36$
g) $x^2+17x+30$
h) $x^2+11x+28$
i) $x^2+14x+48$
j) $x^2+19x+48$
Question 2
Fully factorise
a) $x^2-5x+6$
b) $x^2-8x+15$
c) $x^2-13x+40$
d) $x^2-11x+10$
e) $x^2-11x+28$
f) $x^2-19x+90$
g) $x^2-7x+6$
h) $x^2-8x+12$
i) $x^2-9x+18$
j) $x^2-13x+36$
Question 3
Fully factorise
a) $x^2-x-2$
b) $x^2-2x-15$
c) $x^2-5x-14$
d) $x^2+2x-15$
e) $x^2+2x-35$
f) $x^2-4x-77$
g) $x^2-x-20$
h) $x^2+6x-27$
i) $x^2+2x-24$
j) $x^2-4x-96$
Question 4
Fully factorise
a) $x^2+10x+21$
b) $x^2-12x+35$
c) $x^2+2x-15$
d) $x^2+4x-12$
e) $x^2-12x+32$
f) $x^2+18x+80$
g) $x^2-22x+120$
h) $x^2+6x-72$
i) $x^2-30x+216$
j) $x^2+3x-180$
Question 5
Find a common factor before factorising the quadratic
a) $2x^2+8x+6$
b) $2x^2-16x+30$
c) $5x^2-5x-10$
d) $6x^2-36x+30$
e) $10x^2-40x-600$
f) $x^3+8x^2+15x$
g) $2x^4+4x^3-48x^2$
h) $-x^2-12x-35$
i) $-x^2-7x+18$
j) $-3x^2-18x-24$
k) $-9x^2+72x-108$
l) $-13x^2-26x+624$
m) $-x^3-4x^2+12x$
n) $-4x^5-60x^4+400x^3$
Question 6
Fully factorise
a) $y^2+7y+10$
b) $x^4+7x^2+10$
c) $z^4-11z^2+30$
d) $h^6+12h^3+32$
e) $2x^4+12x^2-80$
f) $\frac{x^2}{2}+3x+4$
g) $\frac{x^2}{3}-\frac43-32$
h) $\frac{2x^2}{5}-\frac{34}{5}+28$
i) $\frac{x^3}{5}+\frac{x^2}{5}-\frac{2x}{5}$
j) $\frac{x^4}{8}+\frac{x^3}{8}-\frac{105x^2}{4}$
Answers
Question 1
a) $(x+2)(x+3)$
b) $(x+4)(x+5)$
c) $(x+6)(x+10)$
d) $(x+2)(x+9)$
e) $(x+9)(x+11)$
f) $(x+3)(x+12)$
g) $(x+2)(x+15)$
h) $(x+4)(x+7)$
i) $(x+6)(x+8)$
j) $(x+3)(x+16)$
Question 2
a) $(x-2)(x-3)$
b) $(x-3)(x-5)$
c) $(x-5)(x-8)$
d) $(x-1)(x-10)$
e) $(x-4)(x-7)$
f) $(x-9)(x-10)$
g) $(x-1)(x-6)$
h) $(x-2)(x-6)$
i) $(x-3)(x-6)$
j) $(x-4)(x-9)$
Question 3
a) $(x+1)(x-2)$
b) $(x+3)(x-5)$
c) $(x+2)(x-7)$
d) $(x+5)(x-3)$
e) $(x+7)(x-5)$
f) $(x+7)(x-11)$
g) $(x+4)(x-5)$
h) $(x+9)(x-3)$
i) $(x+6)(x-4)$
j) $(x+8)(x-12)$
Question 4
a) $(x+3)(x+7)$
b) $(x-7)(x-5)$
c) $(x+5)(x-3)$
d) $(x-2)(x+6)$
e) $(x-4)(x-8)$
f) $(x+8)(x+10)$
g) $(x-10)(x-12)$
h) $(x-6)(x+12)$
i) $(x-12)(x-18)$
j) $(x+15)(x-12)$
Question 5
a) $2(x+1)(x+3)$
b) $2(x-3)(x-5)$
c) $5(x+1)(x-2)$
d) $6(x-1)(x-5)$
e) $10(x+6)(x-10)$
f) $x(x+3)(x+5)$
g) $2x^2(x-4)(x+6)$
h) $-(x+5)(x+7)$
i) $-(x-2)(x+9)$
j) $-3(x+4)(x+2)$
k) $-9(x-2)(x-6)$
l) $-13(x+6)(x-8)$
m) $-x(x+6)(x-2)$
n) $-4x^3(x-5)(x+20)$
Question 6
a) $(y+2)(y+5)$
b) $(x^2+2)(x^2+5)$
c) $(z^2-5)(z^2-6)$
d) $(h^3+4)(h^3+8)$
e) $2(x^2-4)(x^2+10)$
f) $\frac12(x+4)(x+2)$
g) $\frac13(x+8)(x-12)$
h) $\frac25(x-10)(x-7)$
i) $\frac x5(x-1)(x+2)$
j) $\frac{x^2}{8}(x+15)(x-14)$
Question 1
Fully factorise
a) $x^2+5x+6$
b) $x^2+9x+20$
c) $x^2+16x+60$
d) $x^2+11x+18$
e) $x^2+20x+99$
f) $x^2+15x+36$
g) $x^2+17x+30$
h) $x^2+11x+28$
i) $x^2+14x+48$
j) $x^2+19x+48$
Question 2
Fully factorise
a) $x^2-5x+6$
b) $x^2-8x+15$
c) $x^2-13x+40$
d) $x^2-11x+10$
e) $x^2-11x+28$
f) $x^2-19x+90$
g) $x^2-7x+6$
h) $x^2-8x+12$
i) $x^2-9x+18$
j) $x^2-13x+36$
Question 3
Fully factorise
a) $x^2-x-2$
b) $x^2-2x-15$
c) $x^2-5x-14$
d) $x^2+2x-15$
e) $x^2+2x-35$
f) $x^2-4x-77$
g) $x^2-x-20$
h) $x^2+6x-27$
i) $x^2+2x-24$
j) $x^2-4x-96$
Question 4
Fully factorise
a) $x^2+10x+21$
b) $x^2-12x+35$
c) $x^2+2x-15$
d) $x^2+4x-12$
e) $x^2-12x+32$
f) $x^2+18x+80$
g) $x^2-22x+120$
h) $x^2+6x-72$
i) $x^2-30x+216$
j) $x^2+3x-180$
Question 5
Find a common factor before factorising the quadratic
a) $2x^2+8x+6$
b) $2x^2-16x+30$
c) $5x^2-5x-10$
d) $6x^2-36x+30$
e) $10x^2-40x-600$
f) $x^3+8x^2+15x$
g) $2x^4+4x^3-48x^2$
h) $-x^2-12x-35$
i) $-x^2-7x+18$
j) $-3x^2-18x-24$
k) $-9x^2+72x-108$
l) $-13x^2-26x+624$
m) $-x^3-4x^2+12x$
n) $-4x^5-60x^4+400x^3$
Question 6
Fully factorise
a) $y^2+7y+10$
b) $x^4+7x^2+10$
c) $z^4-11z^2+30$
d) $h^6+12h^3+32$
e) $2x^4+12x^2-80$
f) $\frac{x^2}{2}+3x+4$
g) $\frac{x^2}{3}-\frac43-32$
h) $\frac{2x^2}{5}-\frac{34}{5}+28$
i) $\frac{x^3}{5}+\frac{x^2}{5}-\frac{2x}{5}$
j) $\frac{x^4}{8}+\frac{x^3}{8}-\frac{105x^2}{4}$
Answers
Question 1
a) $(x+2)(x+3)$
b) $(x+4)(x+5)$
c) $(x+6)(x+10)$
d) $(x+2)(x+9)$
e) $(x+9)(x+11)$
f) $(x+3)(x+12)$
g) $(x+2)(x+15)$
h) $(x+4)(x+7)$
i) $(x+6)(x+8)$
j) $(x+3)(x+16)$
Question 2
a) $(x-2)(x-3)$
b) $(x-3)(x-5)$
c) $(x-5)(x-8)$
d) $(x-1)(x-10)$
e) $(x-4)(x-7)$
f) $(x-9)(x-10)$
g) $(x-1)(x-6)$
h) $(x-2)(x-6)$
i) $(x-3)(x-6)$
j) $(x-4)(x-9)$
Question 3
a) $(x+1)(x-2)$
b) $(x+3)(x-5)$
c) $(x+2)(x-7)$
d) $(x+5)(x-3)$
e) $(x+7)(x-5)$
f) $(x+7)(x-11)$
g) $(x+4)(x-5)$
h) $(x+9)(x-3)$
i) $(x+6)(x-4)$
j) $(x+8)(x-12)$
Question 4
a) $(x+3)(x+7)$
b) $(x-7)(x-5)$
c) $(x+5)(x-3)$
d) $(x-2)(x+6)$
e) $(x-4)(x-8)$
f) $(x+8)(x+10)$
g) $(x-10)(x-12)$
h) $(x-6)(x+12)$
i) $(x-12)(x-18)$
j) $(x+15)(x-12)$
Question 5
a) $2(x+1)(x+3)$
b) $2(x-3)(x-5)$
c) $5(x+1)(x-2)$
d) $6(x-1)(x-5)$
e) $10(x+6)(x-10)$
f) $x(x+3)(x+5)$
g) $2x^2(x-4)(x+6)$
h) $-(x+5)(x+7)$
i) $-(x-2)(x+9)$
j) $-3(x+4)(x+2)$
k) $-9(x-2)(x-6)$
l) $-13(x+6)(x-8)$
m) $-x(x+6)(x-2)$
n) $-4x^3(x-5)(x+20)$
Question 6
a) $(y+2)(y+5)$
b) $(x^2+2)(x^2+5)$
c) $(z^2-5)(z^2-6)$
d) $(h^3+4)(h^3+8)$
e) $2(x^2-4)(x^2+10)$
f) $\frac12(x+4)(x+2)$
g) $\frac13(x+8)(x-12)$
h) $\frac25(x-10)(x-7)$
i) $\frac x5(x-1)(x+2)$
j) $\frac{x^2}{8}(x+15)(x-14)$
Solutions
Question 1
a)
b)
c)
d)
e)
f)
g)
h)
i)
j)
Question 2
a)
b)
c)
d)
e)
f)
g)
h)
i)
j)
Question 3
a)
b)
c)
d)
e)
f)
g)
h)
i)
j)
Question 4
a)
b)
c)
d)
e)
f)
g)
h)
i)
j)
Question 5
a)
b)
c)
d)
e)
f)
g)
h)
i)
j)
k)
l)
m)
n)
Question 6
a)
b)
c)
d)
e)
f)
g)
h)
i)
j)