Question 1
Expand the brackets
a) $(x+1)(x+2)$
a
$x^2+3x+2$
Question ID: 20070010010
Something wrong? Copy Question ID and
contact usSubmit yours! Copy Question ID and
click hereQuestion by: ada
Answer by: ada
s
v
Question ID: 20070010010
Submit Yours! Copy Question ID and
click hereVideo by: ada
b) $(x+2)(x+3)$
a
$x^2+5x+6$
Question ID: 20070010020
Something wrong? Copy Question ID and
contact usSubmit yours! Copy Question ID and
click hereQuestion by: ada
Answer by: ada
s
v
Question ID: 20070010020
Submit Yours! Copy Question ID and
click hereVideo by: ada
c) $(x+4)(x+6)$
a
$x^2+10x+24$
Question ID: 20070010030
Something wrong? Copy Question ID and
contact usSubmit yours! Copy Question ID and
click hereQuestion by: ada
Answer by: ada
s
v
Question ID: 20070010030
Submit Yours! Copy Question ID and
click hereVideo by:
d) $(x+7)(x+2)$
a
$x^2+9x+14$
Question ID: 20070010040
Something wrong? Copy Question ID and
contact usSubmit yours! Copy Question ID and
click hereQuestion by: ada
Answer by: ada
s
v
Question ID: 20070010040
Submit Yours! Copy Question ID and
click hereVideo by:
e) $(x+2)(x+10)$
a
$x^2+12x+20$
Question ID: 20070010050
Something wrong? Copy Question ID and
contact usSubmit yours! Copy Question ID and
click hereQuestion by: ada
Answer by: ada
s
v
Question ID: 20070010050
Submit Yours! Copy Question ID and
click hereVideo by:
f) $(x+9)(x+3)$
a
$x^2+12x+27$
Question ID: 20070010060
Something wrong? Copy Question ID and
contact usSubmit yours! Copy Question ID and
click hereQuestion by: ada
Answer by: ada
s
v
Question ID: 20070010060
Submit Yours! Copy Question ID and
click hereVideo by:
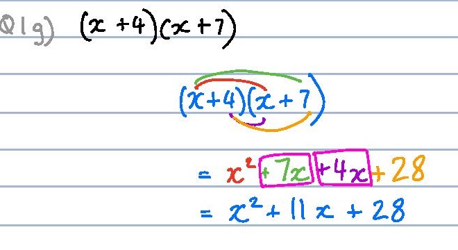
g) $(x+4)(x+7)$
a
$x^2+11x+28$
Question ID: 20070010070
Something wrong? Copy Question ID and
contact usSubmit yours! Copy Question ID and
click hereQuestion by: ada
Answer by: ada
s
v
Question ID: 20070010070
Submit Yours! Copy Question ID and
click hereVideo by:
h) $(x+10)(x+11)$
a
$x^2+21x+110$
Question ID: 20070010080
Something wrong? Copy Question ID and
contact usSubmit yours! Copy Question ID and
click hereQuestion by: ada
Answer by: ada
s
v
Question ID: 20070010080
Submit Yours! Copy Question ID and
click hereVideo by:
i) $(x+1)(x+50)$
a
$x^2+51x+50$
Question ID: 20070010090
Something wrong? Copy Question ID and
contact usSubmit yours! Copy Question ID and
click hereQuestion by: ada
Answer by: ada
s
v
Question ID: 20070010090
Submit Yours! Copy Question ID and
click hereVideo by:
j) $(x+4)(x+4)$
a
$x^2+8x+16$
Question ID: 20070010100
Something wrong? Copy Question ID and
contact usSubmit yours! Copy Question ID and
click hereQuestion by: ada
Answer by: ada
s
v
Question ID: 20070010100
Submit Yours! Copy Question ID and
click hereVideo by:
k) ${(x+4)}^2$
a
$x^2+8x+16$
Question ID: 20070010110
Something wrong? Copy Question ID and
contact usSubmit yours! Copy Question ID and
click hereQuestion by: ada
Answer by: ada
s
v
Question ID: 20070010110
Submit Yours! Copy Question ID and
click hereVideo by:
l) ${(x+5)}^2$
a
$x^2+10x+25$
Question ID: 20070010120
Something wrong? Copy Question ID and
contact usSubmit yours! Copy Question ID and
click hereQuestion by: ada
Answer by: ada
s
v
Question ID: 20070010120
Submit Yours! Copy Question ID and
click hereVideo by:
Question 2
Expand the brackets
a) $(x-1)(x-2)$
a
$x^2-3x+2$
Question ID: 20070020010
Something wrong? Copy Question ID and
contact usSubmit yours! Copy Question ID and
click hereQuestion by: ada
Answer by: ada
s
v
Question ID: 20070020010
Submit Yours! Copy Question ID and
click hereVideo by:
b) $(x-3)(x-5)$
a
$x^2-8x+15$
Question ID: 20070020020
Something wrong? Copy Question ID and
contact usSubmit yours! Copy Question ID and
click hereQuestion by: ada
Answer by: ada
s
v
Question ID: 20070020020
Submit Yours! Copy Question ID and
click hereVideo by:
c) $(x-6)(x-7)$
a
$x^2-13x+42$
Question ID: 20070020030
Something wrong? Copy Question ID and
contact usSubmit yours! Copy Question ID and
click hereQuestion by: ada
Answer by: ada
s
v
Question ID: 20070020030
Submit Yours! Copy Question ID and
click hereVideo by:
d) $(x-7)(x-3)$
a
$x^2-10x+21$
Question ID: 20070020040
Something wrong? Copy Question ID and
contact usSubmit yours! Copy Question ID and
click hereQuestion by: ada
Answer by: ada
s
v
Question ID: 20070020040
Submit Yours! Copy Question ID and
click hereVideo by:
e) $(x-9)(x-8)$
a
$x^2-17x+72$
Question ID: 20070020050
Something wrong? Copy Question ID and
contact usSubmit yours! Copy Question ID and
click hereQuestion by: ada
Answer by: ada
s
v
Question ID: 20070020050
Submit Yours! Copy Question ID and
click hereVideo by:
f) $(x-3)(x-10)$
a
$x^2-13x+30$
Question ID: 20070020060
Something wrong? Copy Question ID and
contact usSubmit yours! Copy Question ID and
click hereQuestion by: ada
Answer by: ada
s
v
Question ID: 20070020060
Submit Yours! Copy Question ID and
click hereVideo by:
g) $(x-1)(x-18)$
a
$x^2-19x+18$
Question ID: 20070020070
Something wrong? Copy Question ID and
contact usSubmit yours! Copy Question ID and
click hereQuestion by: ada
Answer by: ada
s
v
Question ID: 20070020070
Submit Yours! Copy Question ID and
click hereVideo by:
h) $(x-13)(x-12)$
a
$x^2-25x+156$
Question ID: 20070020080
Something wrong? Copy Question ID and
contact usSubmit yours! Copy Question ID and
click hereQuestion by: ada
Answer by: ada
s
v
Question ID: 20070020080
Submit Yours! Copy Question ID and
click hereVideo by:
i) $(x-3)(x-3)$
a
$x^2-6x+9$
Question ID: 20070020090
Something wrong? Copy Question ID and
contact usSubmit yours! Copy Question ID and
click hereQuestion by: ada
Answer by: ada
s
v
Question ID: 20070020090
Submit Yours! Copy Question ID and
click hereVideo by:
j) ${(x-3)}^2$
a
$x^2-6x+9$
Question ID: 20070020100
Something wrong? Copy Question ID and
contact usSubmit yours! Copy Question ID and
click hereQuestion by: ada
Answer by: ada
s
v
Question ID: 20070020100
Submit Yours! Copy Question ID and
click hereVideo by:
k) ${(x-6)}^2$
a
$x^2-12x+36$
Question ID: 20070020110
Something wrong? Copy Question ID and
contact usSubmit yours! Copy Question ID and
click hereQuestion by: ada
Answer by: ada
s
v
Question ID: 20070020110
Submit Yours! Copy Question ID and
click hereVideo by:
l) ${(x-10)}^2$
a
$x^2-20x+100$
Question ID: 20070020120
Something wrong? Copy Question ID and
contact usSubmit yours! Copy Question ID and
click hereQuestion by: ada
Answer by: ada
s
v
Question ID: 20070020120
Submit Yours! Copy Question ID and
click hereVideo by:
Question 3
Expand the brackets
a) $(x+5)(x-2)$
a
$x^2+3x-10$
Question ID: 20070030010
Something wrong? Copy Question ID and
contact usSubmit yours! Copy Question ID and
click hereQuestion by: ada
Answer by: ada
s
v
Question ID: 20070030010
Submit Yours! Copy Question ID and
click hereVideo by:
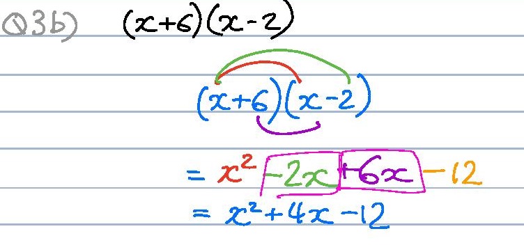
b) $(x+6)(x-2)$
a
$x^2+4x-12$
Question ID: 20070030020
Something wrong? Copy Question ID and
contact usSubmit yours! Copy Question ID and
click hereQuestion by: ada
Answer by: ada
s
v
Question ID: 20070030020
Submit Yours! Copy Question ID and
click hereVideo by:
c) $(x+2)(x-5)$
a
$x^2-3x-10$
Question ID: 20070030030
Something wrong? Copy Question ID and
contact usSubmit yours! Copy Question ID and
click hereQuestion by: ada
Answer by: ada
s
v
Question ID: 20070030030
Submit Yours! Copy Question ID and
click hereVideo by:
d) $(x+5)(x-7)$
a
$x^2-2x-35$
Question ID: 20070030040
Something wrong? Copy Question ID and
contact usSubmit yours! Copy Question ID and
click hereQuestion by: ada
Answer by: ada
s
v
Question ID: 20070030040
Submit Yours! Copy Question ID and
click hereVideo by:
e) $(x-5)(x+2)$
a
$x^2-3x-10$
Question ID: 20070030050
Something wrong? Copy Question ID and
contact usSubmit yours! Copy Question ID and
click hereQuestion by: ada
Answer by: ada
s
v
Question ID: 20070030050
Submit Yours! Copy Question ID and
click hereVideo by:
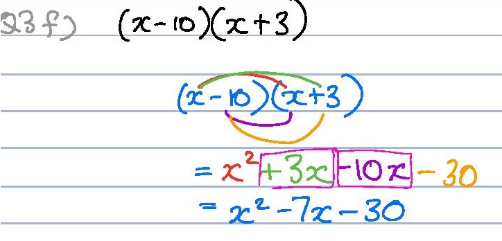
f) $(x-10)(x+3)$
a
$x^2-7x-30$
Question ID: 20070030060
Something wrong? Copy Question ID and
contact usSubmit yours! Copy Question ID and
click hereQuestion by: ada
Answer by: ada
s
v
Question ID: 20070030060
Submit Yours! Copy Question ID and
click hereVideo by:
g) $(x-3)(x+6)$
a
$x^2+3x-18$
Question ID: 20070030070
Something wrong? Copy Question ID and
contact usSubmit yours! Copy Question ID and
click hereQuestion by: ada
Answer by: ada
s
v
Question ID: 20070030070
Submit Yours! Copy Question ID and
click hereVideo by:
h) $(x-9)(x+10)$
a
$x^2+x-90$
Question ID: 20070030080
Something wrong? Copy Question ID and
contact usSubmit yours! Copy Question ID and
click hereQuestion by: ada
Answer by: ada
s
v
Question ID: 20070030080
Submit Yours! Copy Question ID and
click hereVideo by:
i) $(x-15)(x+22)$
a
$x^2+7x-330$
Question ID: 20070030090
Something wrong? Copy Question ID and
contact usSubmit yours! Copy Question ID and
click hereQuestion by: ada
Answer by: ada
s
v
Question ID: 20070030090
Submit Yours! Copy Question ID and
click hereVideo by:
j) $(x-9)(x+9)$
a
$x^2-81$
Question ID: 20070030100
Something wrong? Copy Question ID and
contact usSubmit yours! Copy Question ID and
click hereQuestion by: ada
Answer by: ada
s
v
Question ID: 20070030100
Submit Yours! Copy Question ID and
click hereVideo by:
k) $(x-4)(x+4)$
a
$x^2-16$
Question ID: 20070030110
Something wrong? Copy Question ID and
contact usSubmit yours! Copy Question ID and
click hereQuestion by: ada
Answer by: ada
s
v
Question ID: 20070030110
Submit Yours! Copy Question ID and
click hereVideo by:
l) $(x-10)(x+10)$
a
$x^2-100$
Question ID: 20070030120
Something wrong? Copy Question ID and
contact usSubmit yours! Copy Question ID and
click hereQuestion by: ada
Answer by: ada
s
v
Question ID: 20070030120
Submit Yours! Copy Question ID and
click hereVideo by:
Question 4
Expand the brackets
a) $(2x+1)(x+2)$
a
$2x^2+5x+2$
Question ID: 20070040010
Something wrong? Copy Question ID and
contact usSubmit yours! Copy Question ID and
click hereQuestion by: ada
Answer by: ada
s
v
Question ID: 20070040010
Submit Yours! Copy Question ID and
click hereVideo by:
b) $(3x+2)(x+1)$
a
$3x^2+5x+2$
Question ID: 20070040020
Something wrong? Copy Question ID and
contact usSubmit yours! Copy Question ID and
click hereQuestion by: ada
Answer by: ada
s
v
Question ID: 20070040020
Submit Yours! Copy Question ID and
click hereVideo by:
c) $(5x+3)(x+4)$
a
$5x^2+23x+12$
Question ID: 20070040030
Something wrong? Copy Question ID and
contact usSubmit yours! Copy Question ID and
click hereQuestion by: ada
Answer by: ada
s
v
Question ID: 20070040030
Submit Yours! Copy Question ID and
click hereVideo by:
d) $(10x+1)(x+1)$
a
$10x^2+11x+1$
Question ID: 20070040040
Something wrong? Copy Question ID and
contact usSubmit yours! Copy Question ID and
click hereQuestion by: ada
Answer by: ada
s
v
Question ID: 20070040040
Submit Yours! Copy Question ID and
click hereVideo by:
e) $(6x+5)(x+4)$
a
$6x^2+29x+20$
Question ID: 20070040050
Something wrong? Copy Question ID and
contact usSubmit yours! Copy Question ID and
click hereQuestion by: ada
Answer by: ada
s
v
Question ID: 20070040050
Submit Yours! Copy Question ID and
click hereVideo by:
f) $(8x+3)(x+7)$
a
$8x^2+59x+21$
Question ID: 20070040060
Something wrong? Copy Question ID and
contact usSubmit yours! Copy Question ID and
click hereQuestion by: ada
Answer by: ada
s
v
Question ID: 20070040060
Submit Yours! Copy Question ID and
click hereVideo by:
g) $(9x+1)(x+10)$
a
$9x^2+91x+10$
Question ID: 20070040070
Something wrong? Copy Question ID and
contact usSubmit yours! Copy Question ID and
click hereQuestion by: ada
Answer by: ada
s
v
Question ID: 20070040070
Submit Yours! Copy Question ID and
click hereVideo by:
h) $(2x-1)(x+3)$
a
$2x^2+5x-3$
Question ID: 20070040080
Something wrong? Copy Question ID and
contact usSubmit yours! Copy Question ID and
click hereQuestion by: ada
Answer by: ada
s
v
Question ID: 20070040080
Submit Yours! Copy Question ID and
click hereVideo by:
i) $(3x-4)(x+4)$
a
$3x^2+8x-16$
Question ID: 20070040090
Something wrong? Copy Question ID and
contact usSubmit yours! Copy Question ID and
click hereQuestion by: ada
Answer by: ada
s
v
Question ID: 20070040090
Submit Yours! Copy Question ID and
click hereVideo by:
j) $(2x+3)(x-1)$
a
$2x^2+x-3$
Question ID: 20070040100
Something wrong? Copy Question ID and
contact usSubmit yours! Copy Question ID and
click hereQuestion by: ada
Answer by: ada
s
v
Question ID: 20070040100
Submit Yours! Copy Question ID and
click hereVideo by:
k) $(4x+3)(x-2)$
a
$4x^2-5x-6$
Question ID: 20070040110
Something wrong? Copy Question ID and
contact usSubmit yours! Copy Question ID and
click hereQuestion by: ada
Answer by: ada
s
v
Question ID: 20070040110
Submit Yours! Copy Question ID and
click hereVideo by:
l) $(2x-2)(x-1)$
a
$2x^2-4x+2$
Question ID: 20070040120
Something wrong? Copy Question ID and
contact usSubmit yours! Copy Question ID and
click hereQuestion by: ada
Answer by: ada
s
v
Question ID: 20070040120
Submit Yours! Copy Question ID and
click hereVideo by:
m) $(3x-4)(x-3)$
a
$3x^2-13x+12$
Question ID: 20070040130
Something wrong? Copy Question ID and
contact usSubmit yours! Copy Question ID and
click hereQuestion by: ada
Answer by: ada
s
v
Question ID: 20070040130
Submit Yours! Copy Question ID and
click hereVideo by:
n) $(x+3)(2x+1)$
a
$2x^2+7x+3$
Question ID: 20070040140
Something wrong? Copy Question ID and
contact usSubmit yours! Copy Question ID and
click hereQuestion by: ada
Answer by: ada
s
v
Question ID: 20070040140
Submit Yours! Copy Question ID and
click hereVideo by:
o) $(x-3)(3x+2)$
a
$3x^2-7x-6$
Question ID: 20070040150
Something wrong? Copy Question ID and
contact usSubmit yours! Copy Question ID and
click hereQuestion by: ada
Answer by: ada
s
v
Question ID: 20070040150
Submit Yours! Copy Question ID and
click hereVideo by:
p) $(x-4)(4x-5)$
a
$4x^2-21x+20$
Question ID: 20070040160
Something wrong? Copy Question ID and
contact usSubmit yours! Copy Question ID and
click hereQuestion by: ada
Answer by: ada
s
v
Question ID: 20070040160
Submit Yours! Copy Question ID and
click hereVideo by:
Question 5
Expand the brackets
a) $(2x+1)(3x+1)$
a
$6x^2+5x+1$
Question ID: 20070050010
Something wrong? Copy Question ID and
contact usSubmit yours! Copy Question ID and
click hereQuestion by: ada
Answer by: ada
s
v
Question ID: 20070050010
Submit Yours! Copy Question ID and
click hereVideo by:
b) $(2x+2)(3x+4)$
a
$6x^2+14x+8$
Question ID: 20070050020
Something wrong? Copy Question ID and
contact usSubmit yours! Copy Question ID and
click hereQuestion by: ada
Answer by: ada
s
v
Question ID: 20070050020
Submit Yours! Copy Question ID and
click hereVideo by:
c) $(3x+4)(5x+2)$
a
$15x^2+26x+8$
Question ID: 20070050030
Something wrong? Copy Question ID and
contact usSubmit yours! Copy Question ID and
click hereQuestion by: ada
Answer by: ada
s
v
Question ID: 20070050030
Submit Yours! Copy Question ID and
click hereVideo by:
d) $(6x+1)(8x+5)$
a
$48x^2+38x+5$
Question ID: 20070050040
Something wrong? Copy Question ID and
contact usSubmit yours! Copy Question ID and
click hereQuestion by: ada
Answer by: ada
s
v
Question ID: 20070050040
Submit Yours! Copy Question ID and
click hereVideo by:
e) $(7x+2)(10x+1)$
a
$70x^2+27x+2$
Question ID: 20070050050
Something wrong? Copy Question ID and
contact usSubmit yours! Copy Question ID and
click hereQuestion by: ada
Answer by: ada
s
v
Question ID: 20070050050
Submit Yours! Copy Question ID and
click hereVideo by:
f) $(3x+5)(12x+3)$
a
$36x^2+69x+15$
Question ID: 20070050060
Something wrong? Copy Question ID and
contact usSubmit yours! Copy Question ID and
click hereQuestion by: ada
Answer by: ada
s
v
Question ID: 20070050060
Submit Yours! Copy Question ID and
click hereVideo by:
g) $(2x-1)(3x+2)$
a
$6x^2+x-2$
Question ID: 20070050070
Something wrong? Copy Question ID and
contact usSubmit yours! Copy Question ID and
click hereQuestion by: ada
Answer by: ada
s
v
Question ID: 20070050070
Submit Yours! Copy Question ID and
click hereVideo by:
h) $(3x+1)(4x-2)$
a
$12x^2-2x-2$
Question ID: 20070050080
Something wrong? Copy Question ID and
contact usSubmit yours! Copy Question ID and
click hereQuestion by: ada
Answer by: ada
s
v
Question ID: 20070050080
Submit Yours! Copy Question ID and
click hereVideo by:
i) $(5x-6)(2x+2)$
a
$10x^2-2x-12$
Question ID: 20070050090
Something wrong? Copy Question ID and
contact usSubmit yours! Copy Question ID and
click hereQuestion by: ada
Answer by: ada
s
v
Question ID: 20070050090
Submit Yours! Copy Question ID and
click hereVideo by:
j) $(3x-2)(2x-3)$
a
$6x^2-13x+6$
Question ID: 20070050100
Something wrong? Copy Question ID and
contact usSubmit yours! Copy Question ID and
click hereQuestion by: ada
Answer by: ada
s
v
Question ID: 20070050100
Submit Yours! Copy Question ID and
click hereVideo by:
k) $(5x-1)(3x-5)$
a
$15x^2-28x+5$
Question ID: 20070050110
Something wrong? Copy Question ID and
contact usSubmit yours! Copy Question ID and
click hereQuestion by: ada
Answer by: ada
s
v
Question ID: 20070050110
Submit Yours! Copy Question ID and
click hereVideo by:
l) $(8x-2)(6x-3)$
a
$48x^2-36x+6$
Question ID: 20070050120
Something wrong? Copy Question ID and
contact usSubmit yours! Copy Question ID and
click hereQuestion by: ada
Answer by: ada
s
v
Question ID: 20070050120
Submit Yours! Copy Question ID and
click hereVideo by:
Question 6
Expand the brackets
a) $(3+x)(x-2)$
a
$x^2+x-6$
Question ID: 20070060010
Something wrong? Copy Question ID and
contact usSubmit yours! Copy Question ID and
click hereQuestion by: ada
Answer by: ada
s
v
Question ID: 20070060010
Submit Yours! Copy Question ID and
click hereVideo by:
b) $(4-x)(x-4)$
a
$-x^2+8x-16$
Question ID: 20070060020
Something wrong? Copy Question ID and
contact usSubmit yours! Copy Question ID and
click hereQuestion by: ada
Answer by: ada
s
v
Question ID: 20070060020
Submit Yours! Copy Question ID and
click hereVideo by:
c) $(2x-3)(3+x)$
a
$2x^2+3x-9$
Question ID: 20070060030
Something wrong? Copy Question ID and
contact usSubmit yours! Copy Question ID and
click hereQuestion by: ada
Answer by: ada
s
v
Question ID: 20070060030
Submit Yours! Copy Question ID and
click hereVideo by:
d) $(4-x)(5-2x)$
a
$2x^2-13x+20$
Question ID: 20070060040
Something wrong? Copy Question ID and
contact usSubmit yours! Copy Question ID and
click hereQuestion by: ada
Answer by: ada
s
v
Question ID: 20070060040
Submit Yours! Copy Question ID and
click hereVideo by:
e) $(y-2)(4-2y)$
a
$-2y^2+8y-8$
Question ID: 20070060050
Something wrong? Copy Question ID and
contact usSubmit yours! Copy Question ID and
click hereQuestion by: ada
Answer by: ada, edited by Simon Job (
mathslinks.net)
s
v
Question ID: 20070060050
Submit Yours! Copy Question ID and
click hereVideo by:
f) $(4-z)(4+z)$
a
$16-z^2$
Question ID: 20070060060
Something wrong? Copy Question ID and
contact usSubmit yours! Copy Question ID and
click hereQuestion by: ada
Answer by: ada
s
v
Question ID: 20070060060
Submit Yours! Copy Question ID and
click hereVideo by:
g) ${(2x+3)}^2$
a
$4x^2+12x+9$
Question ID: 20070060070
Something wrong? Copy Question ID and
contact usSubmit yours! Copy Question ID and
click hereQuestion by: ada
Answer by: ada
s
v
Question ID: 20070060070
Submit Yours! Copy Question ID and
click hereVideo by:
h) ${(4x-3)}^2$
a
$16x^2-24x+9$
Question ID: 20070060080
Something wrong? Copy Question ID and
contact usSubmit yours! Copy Question ID and
click hereQuestion by: ada
Answer by: ada
s
v
Question ID: 20070060080
Submit Yours! Copy Question ID and
click hereVideo by:
i) ${(8-r)}^2$
a
$64-16r+r^2$
Question ID: 20070060090
Something wrong? Copy Question ID and
contact usSubmit yours! Copy Question ID and
click hereQuestion by: ada
Answer by: ada
s
v
Question ID: 20070060090
Submit Yours! Copy Question ID and
click hereVideo by:
j) ${(3-2e)}^2$
a
$9-12e+4e^2$
Question ID: 20070060100
Something wrong? Copy Question ID and
contact usSubmit yours! Copy Question ID and
click hereQuestion by: ada
Answer by: ada
s
v
Question ID: 20070060100
Submit Yours! Copy Question ID and
click hereVideo by:
k) $(a+1)(b+2)$
a
$ab+2a+b+2$
Question ID: 20070060110
Something wrong? Copy Question ID and
contact usSubmit yours! Copy Question ID and
click hereQuestion by: ada
Answer by: ada
s
v
Question ID: 20070060110
Submit Yours! Copy Question ID and
click hereVideo by:
l) $(2m-3)(n+2)$
a
$2mn+4m-3n-6$
Question ID: 20070060120
Something wrong? Copy Question ID and
contact usSubmit yours! Copy Question ID and
click hereQuestion by: ada
Answer by: ada
s
v
Question ID: 20070060120
Submit Yours! Copy Question ID and
click hereVideo by:
m) $(4-5p)(3-2p)$
a
$12+23p+10p^2$
Question ID: 20070060130
Something wrong? Copy Question ID and
contact usSubmit yours! Copy Question ID and
click hereQuestion by: ada
Answer by: ada
s
v
Question ID: 20070060130
Submit Yours! Copy Question ID and
click hereVideo by:
n) $(x^2+3)(x^2+4)$
a
$x^4+7x^2+12$
Question ID: 20070060140
Something wrong? Copy Question ID and
contact usSubmit yours! Copy Question ID and
click hereQuestion by: ada
Answer by: ada
s
v
Question ID: 20070060140
Submit Yours! Copy Question ID and
click hereVideo by:
o) $(3x^2+2)(2x^2+1)$
a
$6x^4+7x^2+2$
Question ID: 20070060150
Something wrong? Copy Question ID and
contact usSubmit yours! Copy Question ID and
click hereQuestion by: ada
Answer by: ada
s
v
Question ID: 20070060150
Submit Yours! Copy Question ID and
click hereVideo by:
p) $(5x^2-7)(2x^2+3)$
a
$10x^4+x^2-21$
Question ID: 20070060160
Something wrong? Copy Question ID and
contact usSubmit yours! Copy Question ID and
click hereQuestion by: ada
Answer by: ada
s
v
Question ID: 20070060160
Submit Yours! Copy Question ID and
click hereVideo by:
q) $(8+k^2)(k^2-4)$
a
$k^4+4k^2-32$
Question ID: 20070060170
Something wrong? Copy Question ID and
contact usSubmit yours! Copy Question ID and
click hereQuestion by: ada
Answer by: ada
s
v
Question ID: 20070060170
Submit Yours! Copy Question ID and
click hereVideo by:
r) $(q+7)(q^2+2)$
a
$q^3+7q^2+2q+14$
Question ID: 20070060180
Something wrong? Copy Question ID and
contact usSubmit yours! Copy Question ID and
click hereQuestion by: ada
Answer by: ada
s
v
Question ID: 20070060180
Submit Yours! Copy Question ID and
click hereVideo by:
s) $(p^3-1)(p^4+2)$
a
$p^7-p^4+2p^3-2$
Question ID: 20070060190
Something wrong? Copy Question ID and
contact usSubmit yours! Copy Question ID and
click hereQuestion by: ada
Answer by: ada
s
v
Question ID: 20070060190
Submit Yours! Copy Question ID and
click hereVideo by:
t) $(9f^2+8)(3f-2)$
a
$27f^3-18f^2+24f-16$
Question ID: 20070060200
Something wrong? Copy Question ID and
contact usSubmit yours! Copy Question ID and
click hereQuestion by: ada
Answer by: ada
s
v
Question ID: 20070060200
Submit Yours! Copy Question ID and
click hereVideo by:
Question 7
Expand the brackets
a) $\left(\frac1x+x\right)(x+2)$
a
$1+\frac{2}{x}+x^2+2x$
Question ID: 20070065010
Something wrong? Copy Question ID and
contact usSubmit yours! Copy Question ID and
click hereQuestion by: ada
Answer by: ada
s
Question ID: 20070065010
Submit Yours! Copy Question ID and
click hereSolution by:
v
Question ID: 20070065010
Submit Yours! Copy Question ID and
click hereVideo by:
b) $\left(\frac{1}{x}+1\right)\left(\frac{1}{x}+1\right)$
a
$\frac{1}{x^2}+\frac{2}{x}+1$
Question ID: 20070065020
Something wrong? Copy Question ID and
contact usSubmit yours! Copy Question ID and
click hereQuestion by: ada
Answer by: ada
s
Question ID: 20070065020
Submit Yours! Copy Question ID and
click hereSolution by:
v
Question ID: 20070065020
Submit Yours! Copy Question ID and
click hereVideo by:
c) $\left(\frac{1}{x}+x\right)\left(\frac{1}{x}+x\right)$
a
$\frac{1}{x^2}+2+x^2$
Question ID: 20070065030
Something wrong? Copy Question ID and
contact usSubmit yours! Copy Question ID and
click hereQuestion by: ada
Answer by: ada
s
Question ID: 20070065030
Submit Yours! Copy Question ID and
click hereSolution by:
v
Question ID: 20070065030
Submit Yours! Copy Question ID and
click hereVideo by:
d) $\left(\frac{2}{x}+x\right)\left(\frac{3}{x}+x\right)$
a
$x^2+\frac{6}{x^2}+5$
Question ID: 20070065040
Something wrong? Copy Question ID and
contact usSubmit yours! Copy Question ID and
click hereQuestion by: ada
Answer by: ada
s
Question ID: 20070065040
Submit Yours! Copy Question ID and
click hereSolution by:
v
Question ID: 20070065040
Submit Yours! Copy Question ID and
click hereVideo by:
e) $\left(\frac{1}{x^2}+x\right)\left(\frac{1}{x^2}+x\right)$
a
$\frac{1}{x^4}+\frac{2}{x}+x^2$
Question ID: 20070065050
Something wrong? Copy Question ID and
contact usSubmit yours! Copy Question ID and
click hereQuestion by: ada
Answer by: ada
s
Question ID: 20070065050
Submit Yours! Copy Question ID and
click hereSolution by:
v
Question ID: 20070065050
Submit Yours! Copy Question ID and
click hereVideo by:
f) $\left(\frac{1}{x^2}+x^2\right)^2$
a
$\frac{1}{x^4}+2+x^4$
Question ID: 20070065060
Something wrong? Copy Question ID and
contact usSubmit yours! Copy Question ID and
click hereQuestion by: ada
Answer by: ada
s
Question ID: 20070065060
Submit Yours! Copy Question ID and
click hereSolution by:
v
Question ID: 20070065060
Submit Yours! Copy Question ID and
click hereVideo by:
g) $\left(\frac{1}{x^2}+\frac{1}{x}\right)^2$
a
$\frac{1}{x^4}+\frac{2}{x^3}+\frac{1}{x^2}$
Question ID: 20070065070
Something wrong? Copy Question ID and
contact usSubmit yours! Copy Question ID and
click hereQuestion by: ada
Answer by: ada
s
$\left(\frac{1}{x^2}+\frac{1}{x}\right)^2=\left(\frac{1}{x^2}\right)^2+2\times \frac{1}{x^2}\times \frac{1}{x}+\left(\frac{1}{x}\right)^2$
$\left(\frac{1}{x^2}\right)^2=\frac{1}{x^4}$
$2\times \frac{1}{x^2}\times \frac{1}{x}=\frac{2}{x^3}$
$\left(\frac{1}{x}\right)^2=\frac{1}{x^2}$
$\Rightarrow\frac{1}{x^4}+\frac{2}{x^3}+\frac{1}{x^2}$
Question ID: 20070065070
Submit Yours! Copy Question ID and
click hereSolution by: ada
v
Question ID: 20070065070
Submit Yours! Copy Question ID and
click hereVideo by:
h) $\left(\frac{2}{x^2}+x^2\right)^2$
a
$\frac{4}{x^4}+4+x^4$
Question ID: 20070065080
Something wrong? Copy Question ID and
contact usSubmit yours! Copy Question ID and
click hereQuestion by: ada
Answer by: ada
s
Question ID: 20070065080
Submit Yours! Copy Question ID and
click hereSolution by:
v
Question ID: 20070065080
Submit Yours! Copy Question ID and
click hereVideo by:
i) $\left(\frac{2}{x^2}+\frac{3}{x}\right)^2$
a
$\frac{4}{x^4}+\frac{12}{x^3}+\frac{9}{x^2}$
Question ID: 20070065090
Something wrong? Copy Question ID and
contact usSubmit yours! Copy Question ID and
click hereQuestion by: ada
Answer by: ada
s
Question ID: 20070065090
Submit Yours! Copy Question ID and
click hereSolution by:
v
Question ID: 20070065090
Submit Yours! Copy Question ID and
click hereVideo by:
j) $\left(4x+\frac{1}{4x}\right)^2$
a
$16x^2+2+\frac{1}{16x^2}$
Question ID: 20070065100
Something wrong? Copy Question ID and
contact usSubmit yours! Copy Question ID and
click hereQuestion by: ada
Answer by: ada
s
Question ID: 20070065100
Submit Yours! Copy Question ID and
click hereSolution by:
v
Question ID: 20070065100
Submit Yours! Copy Question ID and
click hereVideo by:
k) $\left(x-\frac{1}{x}\right)^2$
a
$x^2-2+\frac{1}{x^2}$
Question ID: 20070065110
Something wrong? Copy Question ID and
contact usSubmit yours! Copy Question ID and
click hereQuestion by: ada
Answer by: ada
s
Question ID: 20070065110
Submit Yours! Copy Question ID and
click hereSolution by:
v
Question ID: 20070065110
Submit Yours! Copy Question ID and
click hereVideo by:
l) $\left(2x-\frac{1}{x^2}\right)\left(x+\frac{3}{x^2}\right)$
a
$2x^2+\frac{5}{x}-\frac{3}{x^4}$
Question ID: 20070065120
Something wrong? Copy Question ID and
contact usSubmit yours! Copy Question ID and
click hereQuestion by: ada
Answer by: ada
s
$\left(2x-\frac{1}{x^2}\right)\left(x+\frac{3}{x^2}\right)=2x\times \:x+2x\times \frac{3}{x^2}-\frac{1}{x^2}\times \:x-\frac{1}{x^2}\times \frac{3}{x^2}$
$2xx=2x^2$
$2x\frac{3}{x^2}=\frac{6}{x}$
$\frac{1}{x^2}x=\frac{1}{x}$
$\frac{1}{x^2}\times \frac{3}{x^2}=\frac{3}{x^4}$
$\mathrm{Combine\:the\:fractions\:}\frac{6}{x}-\frac{1}{x}=\frac{5}{x}$
$\Rightarrow2x^2+\frac{5}{x}-\frac{3}{x^4}$
Question ID: 20070065120
Submit Yours! Copy Question ID and
click hereSolution by: ada
v
Question ID: 20070065120
Submit Yours! Copy Question ID and
click hereVideo by:
Question 8
Expand the brackets and simplify
a) $(x+2)(x+3)+4$
a
$x^2+5x+10$
Question ID: 20070070010
Something wrong? Copy Question ID and
contact usSubmit yours! Copy Question ID and
click hereQuestion by: ada
Answer by: ada
s
Question ID: 20070070010
Submit Yours! Copy Question ID and
click hereSolution by:
v
Question ID: 20070070010
Submit Yours! Copy Question ID and
click hereVideo by:
b) $(x+5)(x+2)+10$
a
$x^2+7x+20$
Question ID: 20070070020
Something wrong? Copy Question ID and
contact usSubmit yours! Copy Question ID and
click hereQuestion by: ada
Answer by: ada
s
Question ID: 20070070020
Submit Yours! Copy Question ID and
click hereSolution by:
v
Question ID: 20070070020
Submit Yours! Copy Question ID and
click hereVideo by:
c) $(x+2)(x-2)+4$
a
$x^2$
Question ID: 20070070030
Something wrong? Copy Question ID and
contact usSubmit yours! Copy Question ID and
click hereQuestion by: ada
Answer by: ada
s
Question ID: 20070070030
Submit Yours! Copy Question ID and
click hereSolution by:
v
Question ID: 20070070030
Submit Yours! Copy Question ID and
click hereVideo by:
d) ${(x+6)}^2+12x$
a
$x^2+24x+36$
Question ID: 20070070040
Something wrong? Copy Question ID and
contact usSubmit yours! Copy Question ID and
click hereQuestion by: ada
Answer by: ada
s
Question ID: 20070070040
Submit Yours! Copy Question ID and
click hereSolution by:
v
Question ID: 20070070040
Submit Yours! Copy Question ID and
click hereVideo by:
e) $(2x+3)(x+1)+x^2$
a
$3x^2+5x+3$
Question ID: 20070070050
Something wrong? Copy Question ID and
contact usSubmit yours! Copy Question ID and
click hereQuestion by: ada
Answer by: ada
s
Question ID: 20070070050
Submit Yours! Copy Question ID and
click hereSolution by:
v
Question ID: 20070070050
Submit Yours! Copy Question ID and
click hereVideo by:
f) $(x-3)(3x+2)-x^2$
a
$2x^2-7x-6$
Question ID: 20070070060
Something wrong? Copy Question ID and
contact usSubmit yours! Copy Question ID and
click hereQuestion by: ada
Answer by: ada
s
Question ID: 20070070060
Submit Yours! Copy Question ID and
click hereSolution by:
v
Question ID: 20070070060
Submit Yours! Copy Question ID and
click hereVideo by:
g) $(5x-2)(6x+1)+2x+1$
a
$30x^2-5x-1$
Question ID: 20070070070
Something wrong? Copy Question ID and
contact usSubmit yours! Copy Question ID and
click hereQuestion by: ada
Answer by: ada
s
Question ID: 20070070070
Submit Yours! Copy Question ID and
click hereSolution by:
v
Question ID: 20070070070
Submit Yours! Copy Question ID and
click hereVideo by:
h) $(x+4)(x+5)+2(x+3)$
a
$x^2+11x+26$
Question ID: 20070070080
Something wrong? Copy Question ID and
contact usSubmit yours! Copy Question ID and
click hereQuestion by: ada
Answer by: ada
s
Question ID: 20070070080
Submit Yours! Copy Question ID and
click hereSolution by:
v
Question ID: 20070070080
Submit Yours! Copy Question ID and
click hereVideo by:
i) $(2x+1)(x+1)+3(x-2)$
a
$2x^2+6x-5$
Question ID: 20070070090
Something wrong? Copy Question ID and
contact usSubmit yours! Copy Question ID and
click hereQuestion by: ada
Answer by: ada
s
Question ID: 20070070090
Submit Yours! Copy Question ID and
click hereSolution by:
v
Question ID: 20070070090
Submit Yours! Copy Question ID and
click hereVideo by:
j) $(5x-3)(2x-1)-(x+2)$
a
$10x^2-12x+1$
Question ID: 20070070100
Something wrong? Copy Question ID and
contact usSubmit yours! Copy Question ID and
click hereQuestion by: ada
Answer by: ada
s
Question ID: 20070070100
Submit Yours! Copy Question ID and
click hereSolution by:
v
Question ID: 20070070100
Submit Yours! Copy Question ID and
click hereVideo by:
k) ${(3x-1)}^2+5(x-3)$
a
$9x^2-x-14$
Question ID: 20070070110
Something wrong? Copy Question ID and
contact usSubmit yours! Copy Question ID and
click hereQuestion by: ada
Answer by: ada
s
Question ID: 20070070110
Submit Yours! Copy Question ID and
click hereSolution by:
v
Question ID: 20070070110
Submit Yours! Copy Question ID and
click hereVideo by:
l) ${(2-3x)}^2+x(x+1)$
a
$10x^2-11x+4$
Question ID: 20070070120
Something wrong? Copy Question ID and
contact usSubmit yours! Copy Question ID and
click hereQuestion by: ada
Answer by: ada
s
Question ID: 20070070120
Submit Yours! Copy Question ID and
click hereSolution by:
v
Question ID: 20070070120
Submit Yours! Copy Question ID and
click hereVideo by:
m) $(4x-3)(6x+8)+x(2x-3)$
a
$26x^2+11x-24$
Question ID: 20070070130
Something wrong? Copy Question ID and
contact usSubmit yours! Copy Question ID and
click hereQuestion by: ada
Answer by: ada
s
Question ID: 20070070130
Submit Yours! Copy Question ID and
click hereSolution by:
v
Question ID: 20070070130
Submit Yours! Copy Question ID and
click hereVideo by:
n) $(3x^2+1)(2x^2-3)+3x^2(x-4)$
a
$6x^4+3x^3-19x^2-3$
Question ID: 20070070140
Something wrong? Copy Question ID and
contact usSubmit yours! Copy Question ID and
click hereQuestion by: ada
Answer by: ada
s
Question ID: 20070070140
Submit Yours! Copy Question ID and
click hereSolution by:
v
Question ID: 20070070140
Submit Yours! Copy Question ID and
click hereVideo by:
Question 9
Expand the brackets and simplify
a) $(x+1)(x+2)+(x+2)(x+3)$
a
$2x^2+8x+8$
Question ID: 20070080010
Something wrong? Copy Question ID and
contact usSubmit yours! Copy Question ID and
click hereQuestion by: ada
Answer by: ada
s
Question ID: 20070080010
Submit Yours! Copy Question ID and
click hereSolution by:
v
Question ID: 20070080010
Submit Yours! Copy Question ID and
click hereVideo by:
b) $(x+5)(x+7)+(x+3)(x+8)$
a
$2x^2++23x+59$
Question ID: 20070080020
Something wrong? Copy Question ID and
contact usSubmit yours! Copy Question ID and
click hereQuestion by: ada
Answer by: ada
s
Question ID: 20070080020
Submit Yours! Copy Question ID and
click hereSolution by:
v
Question ID: 20070080020
Submit Yours! Copy Question ID and
click hereVideo by:
c) $(x+3)(x-2)+(x+5)(x-2)$
a
$2x^2+4x-16$
Question ID: 20070080030
Something wrong? Copy Question ID and
contact usSubmit yours! Copy Question ID and
click hereQuestion by: ada
Answer by: ada
s
Question ID: 20070080030
Submit Yours! Copy Question ID and
click hereSolution by:
v
Question ID: 20070080030
Submit Yours! Copy Question ID and
click hereVideo by:
d) $(2x-1)(x+2)+(3x+2)(x-2)$
a
$5x^2-x-6$
Question ID: 20070080040
Something wrong? Copy Question ID and
contact usSubmit yours! Copy Question ID and
click hereQuestion by: ada
Answer by: ada
s
Question ID: 20070080040
Submit Yours! Copy Question ID and
click hereSolution by:
v
Question ID: 20070080040
Submit Yours! Copy Question ID and
click hereVideo by:
e) $(6x+3)(x-1)+(4x-1)(5x+6)$
a
$26x^2+16x-9$
Question ID: 20070080050
Something wrong? Copy Question ID and
contact usSubmit yours! Copy Question ID and
click hereQuestion by: ada
Answer by: ada
s
Question ID: 20070080050
Submit Yours! Copy Question ID and
click hereSolution by:
v
Question ID: 20070080050
Submit Yours! Copy Question ID and
click hereVideo by:
f) $(3x+1)(3x+4)-(2x+2)(x+1)$
a
$7x^2+11x+2$
Question ID: 20070080060
Something wrong? Copy Question ID and
contact usSubmit yours! Copy Question ID and
click hereQuestion by: ada
Answer by: ada
s
Question ID: 20070080060
Submit Yours! Copy Question ID and
click hereSolution by:
v
Question ID: 20070080060
Submit Yours! Copy Question ID and
click hereVideo by:
g) $(3x-1)(2x-3)-(4x-1)(3x-2)$
a
$1-6x^2$
Question ID: 20070080070
Something wrong? Copy Question ID and
contact usSubmit yours! Copy Question ID and
click hereQuestion by: ada
Answer by: ada
s
Question ID: 20070080070
Submit Yours! Copy Question ID and
click hereSolution by:
v
Question ID: 20070080070
Submit Yours! Copy Question ID and
click hereVideo by:
h) ${(5x-2)}^2+(2x-1)(5x-2)$
a
$35x^2-29x+6$
Question ID: 20070080080
Something wrong? Copy Question ID and
contact usSubmit yours! Copy Question ID and
click hereQuestion by: ada
Answer by: ada
s
Question ID: 20070080080
Submit Yours! Copy Question ID and
click hereSolution by:
v
Question ID: 20070080080
Submit Yours! Copy Question ID and
click hereVideo by:
i) ${(2x+1)}^2+{(x+9)}^2$
a
$5x^2+22x+82$
Question ID: 20070080090
Something wrong? Copy Question ID and
contact usSubmit yours! Copy Question ID and
click hereQuestion by: ada
Answer by: ada
s
Question ID: 20070080090
Submit Yours! Copy Question ID and
click hereSolution by:
v
Question ID: 20070080090
Submit Yours! Copy Question ID and
click hereVideo by:
j) ${(4x-1)}^2-{(3x+2)}^2$
a
$7x^2-20x-3$
Question ID: 20070080100
Something wrong? Copy Question ID and
contact usSubmit yours! Copy Question ID and
click hereQuestion by: ada
Answer by: ada
s
Question ID: 20070080100
Submit Yours! Copy Question ID and
click hereSolution by:
v
Question ID: 20070080100
Submit Yours! Copy Question ID and
click hereVideo by:
k) $(2x-5)(2x+5)-(4x-1)(4x+1)$
a
$-12x^2-24$
Question ID: 20070080110
Something wrong? Copy Question ID and
contact usSubmit yours! Copy Question ID and
click hereQuestion by: ada
Answer by: ada
s
Question ID: 20070080110
Submit Yours! Copy Question ID and
click hereSolution by:
v
Question ID: 20070080110
Submit Yours! Copy Question ID and
click hereVideo by:
l) $(2x+2)(x-6)-{(x-1)}^2+(x+6)(2x-3)$
a
$3x^2+x-31$
Question ID: 20070080120
Something wrong? Copy Question ID and
contact usSubmit yours! Copy Question ID and
click hereQuestion by: ada
Answer by: ada
s
Question ID: 20070080120
Submit Yours! Copy Question ID and
click hereSolution by:
v
Question ID: 20070080120
Submit Yours! Copy Question ID and
click hereVideo by:
Question 10
Expand the brackets and simplify
a) $(x+y+1)(x+y+1)$
a
$x^2+2xy+2x+y^2+2y+1$
Question ID: 20070090010
Something wrong? Copy Question ID and
contact usSubmit yours! Copy Question ID and
click hereQuestion by: ada
Answer by: ada
s
Question ID: 20070090010
Submit Yours! Copy Question ID and
click hereSolution by:
v
Question ID: 20070090010
Submit Yours! Copy Question ID and
click hereVideo by:
b) $(x^2+x+1)(x^2+x+1)$
a
$x^4+2x^3+3x^2+2x+1$
Question ID: 20070090020
Something wrong? Copy Question ID and
contact usSubmit yours! Copy Question ID and
click hereQuestion by: ada
Answer by: ada
s
Question ID: 20070090020
Submit Yours! Copy Question ID and
click hereSolution by:
v
Question ID: 20070090020
Submit Yours! Copy Question ID and
click hereVideo by:
c) ${(3y+2z+2)}^2$
a
$9y^2+12yz+12y+4z^2+8z+4$
Question ID: 20070090030
Something wrong? Copy Question ID and
contact usSubmit yours! Copy Question ID and
click hereQuestion by: ada
Answer by: ada
s
Question ID: 20070090030
Submit Yours! Copy Question ID and
click hereSolution by:
v
Question ID: 20070090030
Submit Yours! Copy Question ID and
click hereVideo by:
d) $(3a+2b+c)(4a+3b+2c)$
a
$12a^2+17ab+10ac+6b^2+7bc+2c^2$
Question ID: 20070090040
Something wrong? Copy Question ID and
contact usSubmit yours! Copy Question ID and
click hereQuestion by: ada
Answer by: ada
s
Question ID: 20070090040
Submit Yours! Copy Question ID and
click hereSolution by:
v
Question ID: 20070090040
Submit Yours! Copy Question ID and
click hereVideo by:
e) $(p-q+r)(q-p-r)$
a
$-p^2+2pq-2pr-2qr-r^2$
Question ID: 20070090050
Something wrong? Copy Question ID and
contact usSubmit yours! Copy Question ID and
click hereQuestion by: ada
Answer by: ada
s
Question ID: 20070090050
Submit Yours! Copy Question ID and
click hereSolution by:
v
Question ID: 20070090050
Submit Yours! Copy Question ID and
click hereVideo by:
f) ${(x+1)}^3$
a
$x^3+3x^2+3x+1$
Question ID: 20070090060
Something wrong? Copy Question ID and
contact usSubmit yours! Copy Question ID and
click hereQuestion by: ada
Answer by: ada
s
Question ID: 20070090060
Submit Yours! Copy Question ID and
click hereSolution by:
v
Question ID: 20070090060
Submit Yours! Copy Question ID and
click hereVideo by:
g) ${(2y-1)}^3$
a
$8y^3-12y^2+6y-1$
Question ID: 20070090070
Something wrong? Copy Question ID and
contact usSubmit yours! Copy Question ID and
click hereQuestion by: ada
Answer by: ada
s
Question ID: 20070090070
Submit Yours! Copy Question ID and
click hereSolution by:
v
Question ID: 20070090070
Submit Yours! Copy Question ID and
click hereVideo by:
h) ${(4z-3)}^2{(2w+5)}^2$
a
$64w^2z^2-96w^2z+36w^2+320wz^2\\
-480wz+180w+400z^2-600z+225$
Question ID: 20070090080
Something wrong? Copy Question ID and
contact usSubmit yours! Copy Question ID and
click hereQuestion by: ada
Answer by: ada
s
Question ID: 20070090080
Submit Yours! Copy Question ID and
click hereSolution by:
v
Question ID: 20070090080
Submit Yours! Copy Question ID and
click hereVideo by:
i) $s^2(3s-5t+8u)(5s-5t-u)$
a
$15s^4-40s^3t+37s^3u+25s^2t^2-35s^2tu-8s^2u^2$
Question ID: 20070090090
Something wrong? Copy Question ID and
contact usSubmit yours! Copy Question ID and
click hereQuestion by: ada
Answer by: ada, edited by Simon Job (
mathslinks.net)
s
Question ID: 20070090090
Submit Yours! Copy Question ID and
click hereSolution by:
v
Question ID: 20070090090
Submit Yours! Copy Question ID and
click hereVideo by:
j) $3{(x+y)}^2(4x-7y+z)(2x^2-5y-8)$
a
$25x^5+6x^4y+6x^4z-60x^3y^2+12x^3yz\\
-60x^3y-96x^3-42x^2y^3+6x^2y^2z\\
-15x^2y^2-15x^2yz-24x^2y-24x^2z\\
+150xy^3-30xy^2z+240xy^2-48xyz+105y^4\\
-15y^3z+168y^3-24y^2z$
Question ID: 20070090100
Something wrong? Copy Question ID and
contact usSubmit yours! Copy Question ID and
click hereQuestion by: ada
Answer by: ada
s
Question ID: 20070090100
Submit Yours! Copy Question ID and
click hereSolution by:
v
Question ID: 20070090100
Submit Yours! Copy Question ID and
click hereVideo by:
k) ${(5-s)}^3-{(4s+1)}^3$
a
$-65s^3-33s^2-87s+124$
Question ID: 20070090110
Something wrong? Copy Question ID and
contact usSubmit yours! Copy Question ID and
click hereQuestion by: ada
Answer by: ada
s
Question ID: 20070090110
Submit Yours! Copy Question ID and
click hereSolution by:
v
Question ID: 20070090110
Submit Yours! Copy Question ID and
click hereVideo by:
l) $3{(2p-1)}^2{(7q+3)}^2-8{(7-8q)}^2\times 3{(11q+9)}^2$
a
$588p^2q^2+504p^2q+108p^2-588pq^2\\-504pq-108p-185856q^4+21120q^3\\+265659q^2-14994q-95229$
Question ID: 20070090120
Something wrong? Copy Question ID and
contact usSubmit yours! Copy Question ID and
click hereQuestion by: ada
Answer by: ada
s
Question ID: 20070090120
Submit Yours! Copy Question ID and
click hereSolution by:
v
Question ID: 20070090120
Submit Yours! Copy Question ID and
click hereVideo by:
Question 1
Expand the brackets
a) $(x+1)(x+2)$
b) $(x+2)(x+3)$
c) $(x+4)(x+6)$
d) $(x+7)(x+2)$
e) $(x+2)(x+10)$
f) $(x+9)(x+3)$
g) $(x+4)(x+7)$
h) $(x+10)(x+11)$
i) $(x+1)(x+50)$
j) $(x+4)(x+4)$
k) ${(x+4)}^2$
l) ${(x+5)}^2$
Question 2
Expand the brackets
a) $(x-1)(x-2)$
b) $(x-3)(x-5)$
c) $(x-6)(x-7)$
d) $(x-7)(x-3)$
e) $(x-9)(x-8)$
f) $(x-3)(x-10)$
g) $(x-1)(x-18)$
h) $(x-13)(x-12)$
i) $(x-3)(x-3)$
j) ${(x-3)}^2$
k) ${(x-6)}^2$
l) ${(x-10)}^2$
Question 3
Expand the brackets
a) $(x+5)(x-2)$
b) $(x+6)(x-2)$
c) $(x+2)(x-5)$
d) $(x+5)(x-7)$
e) $(x-5)(x+2)$
f) $(x-10)(x+3)$
g) $(x-3)(x+6)$
h) $(x-9)(x+10)$
i) $(x-15)(x+22)$
j) $(x-9)(x+9)$
k) $(x-4)(x+4)$
l) $(x-10)(x+10)$
Question 4
Expand the brackets
a) $(2x+1)(x+2)$
b) $(3x+2)(x+1)$
c) $(5x+3)(x+4)$
d) $(10x+1)(x+1)$
e) $(6x+5)(x+4)$
f) $(8x+3)(x+7)$
g) $(9x+1)(x+10)$
h) $(2x-1)(x+3)$
i) $(3x-4)(x+4)$
j) $(2x+3)(x-1)$
k) $(4x+3)(x-2)$
l) $(2x-2)(x-1)$
m) $(3x-4)(x-3)$
n) $(x+3)(2x+1)$
o) $(x-3)(3x+2)$
p) $(x-4)(4x-5)$
Question 5
Expand the brackets
a) $(2x+1)(3x+1)$
b) $(2x+2)(3x+4)$
c) $(3x+4)(5x+2)$
d) $(6x+1)(8x+5)$
e) $(7x+2)(10x+1)$
f) $(3x+5)(12x+3)$
g) $(2x-1)(3x+2)$
h) $(3x+1)(4x-2)$
i) $(5x-6)(2x+2)$
j) $(3x-2)(2x-3)$
k) $(5x-1)(3x-5)$
l) $(8x-2)(6x-3)$
Question 6
Expand the brackets
a) $(3+x)(x-2)$
b) $(4-x)(x-4)$
c) $(2x-3)(3+x)$
d) $(4-x)(5-2x)$
e) $(y-2)(4-2y)$
f) $(4-z)(4+z)$
g) ${(2x+3)}^2$
h) ${(4x-3)}^2$
i) ${(8-r)}^2$
j) ${(3-2e)}^2$
k) $(a+1)(b+2)$
l) $(2m-3)(n+2)$
m) $(4-5p)(3-2p)$
n) $(x^2+3)(x^2+4)$
o) $(3x^2+2)(2x^2+1)$
p) $(5x^2-7)(2x^2+3)$
q) $(8+k^2)(k^2-4)$
r) $(q+7)(q^2+2)$
s) $(p^3-1)(p^4+2)$
t) $(9f^2+8)(3f-2)$
Question 7
Expand the brackets
a) $\left(\frac1x+x\right)(x+2)$
b) $\left(\frac{1}{x}+1\right)\left(\frac{1}{x}+1\right)$
c) $\left(\frac{1}{x}+x\right)\left(\frac{1}{x}+x\right)$
d) $\left(\frac{2}{x}+x\right)\left(\frac{3}{x}+x\right)$
e) $\left(\frac{1}{x^2}+x\right)\left(\frac{1}{x^2}+x\right)$
f) $\left(\frac{1}{x^2}+x^2\right)^2$
g) $\left(\frac{1}{x^2}+\frac{1}{x}\right)^2$
h) $\left(\frac{2}{x^2}+x^2\right)^2$
i) $\left(\frac{2}{x^2}+\frac{3}{x}\right)^2$
j) $\left(4x+\frac{1}{4x}\right)^2$
k) $\left(x-\frac{1}{x}\right)^2$
l) $\left(2x-\frac{1}{x^2}\right)\left(x+\frac{3}{x^2}\right)$
Question 8
Expand the brackets and simplify
a) $(x+2)(x+3)+4$
b) $(x+5)(x+2)+10$
c) $(x+2)(x-2)+4$
d) ${(x+6)}^2+12x$
e) $(2x+3)(x+1)+x^2$
f) $(x-3)(3x+2)-x^2$
g) $(5x-2)(6x+1)+2x+1$
h) $(x+4)(x+5)+2(x+3)$
i) $(2x+1)(x+1)+3(x-2)$
j) $(5x-3)(2x-1)-(x+2)$
k) ${(3x-1)}^2+5(x-3)$
l) ${(2-3x)}^2+x(x+1)$
m) $(4x-3)(6x+8)+x(2x-3)$
n) $(3x^2+1)(2x^2-3)+3x^2(x-4)$
Question 9
Expand the brackets and simplify
a) $(x+1)(x+2)+(x+2)(x+3)$
b) $(x+5)(x+7)+(x+3)(x+8)$
c) $(x+3)(x-2)+(x+5)(x-2)$
d) $(2x-1)(x+2)+(3x+2)(x-2)$
e) $(6x+3)(x-1)+(4x-1)(5x+6)$
f) $(3x+1)(3x+4)-(2x+2)(x+1)$
g) $(3x-1)(2x-3)-(4x-1)(3x-2)$
h) ${(5x-2)}^2+(2x-1)(5x-2)$
i) ${(2x+1)}^2+{(x+9)}^2$
j) ${(4x-1)}^2-{(3x+2)}^2$
k) $(2x-5)(2x+5)-(4x-1)(4x+1)$
l) $(2x+2)(x-6)-{(x-1)}^2+(x+6)(2x-3)$
Question 10
Expand the brackets and simplify
a) $(x+y+1)(x+y+1)$
b) $(x^2+x+1)(x^2+x+1)$
c) ${(3y+2z+2)}^2$
d) $(3a+2b+c)(4a+3b+2c)$
e) $(p-q+r)(q-p-r)$
f) ${(x+1)}^3$
g) ${(2y-1)}^3$
h) ${(4z-3)}^2{(2w+5)}^2$
i) $s^2(3s-5t+8u)(5s-5t-u)$
j) $3{(x+y)}^2(4x-7y+z)(2x^2-5y-8)$
k) ${(5-s)}^3-{(4s+1)}^3$
l) $3{(2p-1)}^2{(7q+3)}^2-8{(7-8q)}^2\times 3{(11q+9)}^2$
Answers
Question 1
a) $x^2+3x+2$
b) $x^2+5x+6$
c) $x^2+10x+24$
d) $x^2+9x+14$
e) $x^2+12x+20$
f) $x^2+12x+27$
g) $x^2+11x+28$
h) $x^2+21x+110$
i) $x^2+51x+50$
j) $x^2+8x+16$
k) $x^2+8x+16$
l) $x^2+10x+25$
Question 2
a) $x^2-3x+2$
b) $x^2-8x+15$
c) $x^2-13x+42$
d) $x^2-10x+21$
e) $x^2-17x+72$
f) $x^2-13x+30$
g) $x^2-19x+18$
h) $x^2-25x+156$
i) $x^2-6x+9$
j) $x^2-6x+9$
k) $x^2-12x+36$
l) $x^2-20x+100$
Question 3
a) $x^2+3x-10$
b) $x^2+4x-12$
c) $x^2-3x-10$
d) $x^2-2x-35$
e) $x^2-3x-10$
f) $x^2-7x-30$
g) $x^2+3x-18$
h) $x^2+x-90$
i) $x^2+7x-330$
j) $x^2-81$
k) $x^2-16$
l) $x^2-100$
Question 4
a) $2x^2+5x+2$
b) $3x^2+5x+2$
c) $5x^2+23x+12$
d) $10x^2+11x+1$
e) $6x^2+29x+20$
f) $8x^2+59x+21$
g) $9x^2+91x+10$
h) $2x^2+5x-3$
i) $3x^2+8x-16$
j) $2x^2+x-3$
k) $4x^2-5x-6$
l) $2x^2-4x+2$
m) $3x^2-13x+12$
n) $2x^2+7x+3$
o) $3x^2-7x-6$
p) $4x^2-21x+20$
Question 5
a) $6x^2+5x+1$
b) $6x^2+14x+8$
c) $15x^2+26x+8$
d) $48x^2+38x+5$
e) $70x^2+27x+2$
f) $36x^2+69x+15$
g) $6x^2+x-2$
h) $12x^2-2x-2$
i) $10x^2-2x-12$
j) $6x^2-13x+6$
k) $15x^2-28x+5$
l) $48x^2-36x+6$
Question 6
a) $x^2+x-6$
b) $-x^2+8x-16$
c) $2x^2+3x-9$
d) $2x^2-13x+20$
e) $-2y^2+8y-8$
f) $16-z^2$
g) $4x^2+12x+9$
h) $16x^2-24x+9$
i) $64-16r+r^2$
j) $9-12e+4e^2$
k) $ab+2a+b+2$
l) $2mn+4m-3n-6$
m) $12+23p+10p^2$
n) $x^4+7x^2+12$
o) $6x^4+7x^2+2$
p) $10x^4+x^2-21$
q) $k^4+4k^2-32$
r) $q^3+7q^2+2q+14$
s) $p^7-p^4+2p^3-2$
t) $27f^3-18f^2+24f-16$
Question 7
a) $1+\frac{2}{x}+x^2+2x$
b) $\frac{1}{x^2}+\frac{2}{x}+1$
c) $\frac{1}{x^2}+2+x^2$
d) $x^2+\frac{6}{x^2}+5$
e) $\frac{1}{x^4}+\frac{2}{x}+x^2$
f) $\frac{1}{x^4}+2+x^4$
g) $\frac{1}{x^4}+\frac{2}{x^3}+\frac{1}{x^2}$
h) $\frac{4}{x^4}+4+x^4$
i) $\frac{4}{x^4}+\frac{12}{x^3}+\frac{9}{x^2}$
j) $16x^2+2+\frac{1}{16x^2}$
k) $x^2-2+\frac{1}{x^2}$
l) $2x^2+\frac{5}{x}-\frac{3}{x^4}$
Question 8
a) $x^2+5x+10$
b) $x^2+7x+20$
c) $x^2$
d) $x^2+24x+36$
e) $3x^2+5x+3$
f) $2x^2-7x-6$
g) $30x^2-5x-1$
h) $x^2+11x+26$
i) $2x^2+6x-5$
j) $10x^2-12x+1$
k) $9x^2-x-14$
l) $10x^2-11x+4$
m) $26x^2+11x-24$
n) $6x^4+3x^3-19x^2-3$
Question 9
a) $2x^2+8x+8$
b) $2x^2++23x+59$
c) $2x^2+4x-16$
d) $5x^2-x-6$
e) $26x^2+16x-9$
f) $7x^2+11x+2$
g) $1-6x^2$
h) $35x^2-29x+6$
i) $5x^2+22x+82$
j) $7x^2-20x-3$
k) $-12x^2-24$
l) $3x^2+x-31$
Question 10
a) $x^2+2xy+2x+y^2+2y+1$
b) $x^4+2x^3+3x^2+2x+1$
c) $9y^2+12yz+12y+4z^2+8z+4$
d) $12a^2+17ab+10ac+6b^2+7bc+2c^2$
e) $-p^2+2pq-2pr-2qr-r^2$
f) $x^3+3x^2+3x+1$
g) $8y^3-12y^2+6y-1$
h) $64w^2z^2-96w^2z+36w^2+320wz^2\\
-480wz+180w+400z^2-600z+225$
i) $15s^4-40s^3t+37s^3u+25s^2t^2-35s^2tu-8s^2u^2$
j) $25x^5+6x^4y+6x^4z-60x^3y^2+12x^3yz\\
-60x^3y-96x^3-42x^2y^3+6x^2y^2z\\
-15x^2y^2-15x^2yz-24x^2y-24x^2z\\
+150xy^3-30xy^2z+240xy^2-48xyz+105y^4\\
-15y^3z+168y^3-24y^2z$
k) $-65s^3-33s^2-87s+124$
l) $588p^2q^2+504p^2q+108p^2-588pq^2\\-504pq-108p-185856q^4+21120q^3\\+265659q^2-14994q-95229$
Question 1
Expand the brackets
a) $(x+1)(x+2)$
b) $(x+2)(x+3)$
c) $(x+4)(x+6)$
d) $(x+7)(x+2)$
e) $(x+2)(x+10)$
f) $(x+9)(x+3)$
g) $(x+4)(x+7)$
h) $(x+10)(x+11)$
i) $(x+1)(x+50)$
j) $(x+4)(x+4)$
k) ${(x+4)}^2$
l) ${(x+5)}^2$
Question 2
Expand the brackets
a) $(x-1)(x-2)$
b) $(x-3)(x-5)$
c) $(x-6)(x-7)$
d) $(x-7)(x-3)$
e) $(x-9)(x-8)$
f) $(x-3)(x-10)$
g) $(x-1)(x-18)$
h) $(x-13)(x-12)$
i) $(x-3)(x-3)$
j) ${(x-3)}^2$
k) ${(x-6)}^2$
l) ${(x-10)}^2$
Question 3
Expand the brackets
a) $(x+5)(x-2)$
b) $(x+6)(x-2)$
c) $(x+2)(x-5)$
d) $(x+5)(x-7)$
e) $(x-5)(x+2)$
f) $(x-10)(x+3)$
g) $(x-3)(x+6)$
h) $(x-9)(x+10)$
i) $(x-15)(x+22)$
j) $(x-9)(x+9)$
k) $(x-4)(x+4)$
l) $(x-10)(x+10)$
Question 4
Expand the brackets
a) $(2x+1)(x+2)$
b) $(3x+2)(x+1)$
c) $(5x+3)(x+4)$
d) $(10x+1)(x+1)$
e) $(6x+5)(x+4)$
f) $(8x+3)(x+7)$
g) $(9x+1)(x+10)$
h) $(2x-1)(x+3)$
i) $(3x-4)(x+4)$
j) $(2x+3)(x-1)$
k) $(4x+3)(x-2)$
l) $(2x-2)(x-1)$
m) $(3x-4)(x-3)$
n) $(x+3)(2x+1)$
o) $(x-3)(3x+2)$
p) $(x-4)(4x-5)$
Question 5
Expand the brackets
a) $(2x+1)(3x+1)$
b) $(2x+2)(3x+4)$
c) $(3x+4)(5x+2)$
d) $(6x+1)(8x+5)$
e) $(7x+2)(10x+1)$
f) $(3x+5)(12x+3)$
g) $(2x-1)(3x+2)$
h) $(3x+1)(4x-2)$
i) $(5x-6)(2x+2)$
j) $(3x-2)(2x-3)$
k) $(5x-1)(3x-5)$
l) $(8x-2)(6x-3)$
Question 6
Expand the brackets
a) $(3+x)(x-2)$
b) $(4-x)(x-4)$
c) $(2x-3)(3+x)$
d) $(4-x)(5-2x)$
e) $(y-2)(4-2y)$
f) $(4-z)(4+z)$
g) ${(2x+3)}^2$
h) ${(4x-3)}^2$
i) ${(8-r)}^2$
j) ${(3-2e)}^2$
k) $(a+1)(b+2)$
l) $(2m-3)(n+2)$
m) $(4-5p)(3-2p)$
n) $(x^2+3)(x^2+4)$
o) $(3x^2+2)(2x^2+1)$
p) $(5x^2-7)(2x^2+3)$
q) $(8+k^2)(k^2-4)$
r) $(q+7)(q^2+2)$
s) $(p^3-1)(p^4+2)$
t) $(9f^2+8)(3f-2)$
Question 7
Expand the brackets
a) $\left(\frac1x+x\right)(x+2)$
b) $\left(\frac{1}{x}+1\right)\left(\frac{1}{x}+1\right)$
c) $\left(\frac{1}{x}+x\right)\left(\frac{1}{x}+x\right)$
d) $\left(\frac{2}{x}+x\right)\left(\frac{3}{x}+x\right)$
e) $\left(\frac{1}{x^2}+x\right)\left(\frac{1}{x^2}+x\right)$
f) $\left(\frac{1}{x^2}+x^2\right)^2$
g) $\left(\frac{1}{x^2}+\frac{1}{x}\right)^2$
h) $\left(\frac{2}{x^2}+x^2\right)^2$
i) $\left(\frac{2}{x^2}+\frac{3}{x}\right)^2$
j) $\left(4x+\frac{1}{4x}\right)^2$
k) $\left(x-\frac{1}{x}\right)^2$
l) $\left(2x-\frac{1}{x^2}\right)\left(x+\frac{3}{x^2}\right)$
Question 8
Expand the brackets and simplify
a) $(x+2)(x+3)+4$
b) $(x+5)(x+2)+10$
c) $(x+2)(x-2)+4$
d) ${(x+6)}^2+12x$
e) $(2x+3)(x+1)+x^2$
f) $(x-3)(3x+2)-x^2$
g) $(5x-2)(6x+1)+2x+1$
h) $(x+4)(x+5)+2(x+3)$
i) $(2x+1)(x+1)+3(x-2)$
j) $(5x-3)(2x-1)-(x+2)$
k) ${(3x-1)}^2+5(x-3)$
l) ${(2-3x)}^2+x(x+1)$
m) $(4x-3)(6x+8)+x(2x-3)$
n) $(3x^2+1)(2x^2-3)+3x^2(x-4)$
Question 9
Expand the brackets and simplify
a) $(x+1)(x+2)+(x+2)(x+3)$
b) $(x+5)(x+7)+(x+3)(x+8)$
c) $(x+3)(x-2)+(x+5)(x-2)$
d) $(2x-1)(x+2)+(3x+2)(x-2)$
e) $(6x+3)(x-1)+(4x-1)(5x+6)$
f) $(3x+1)(3x+4)-(2x+2)(x+1)$
g) $(3x-1)(2x-3)-(4x-1)(3x-2)$
h) ${(5x-2)}^2+(2x-1)(5x-2)$
i) ${(2x+1)}^2+{(x+9)}^2$
j) ${(4x-1)}^2-{(3x+2)}^2$
k) $(2x-5)(2x+5)-(4x-1)(4x+1)$
l) $(2x+2)(x-6)-{(x-1)}^2+(x+6)(2x-3)$
Question 10
Expand the brackets and simplify
a) $(x+y+1)(x+y+1)$
b) $(x^2+x+1)(x^2+x+1)$
c) ${(3y+2z+2)}^2$
d) $(3a+2b+c)(4a+3b+2c)$
e) $(p-q+r)(q-p-r)$
f) ${(x+1)}^3$
g) ${(2y-1)}^3$
h) ${(4z-3)}^2{(2w+5)}^2$
i) $s^2(3s-5t+8u)(5s-5t-u)$
j) $3{(x+y)}^2(4x-7y+z)(2x^2-5y-8)$
k) ${(5-s)}^3-{(4s+1)}^3$
l) $3{(2p-1)}^2{(7q+3)}^2-8{(7-8q)}^2\times 3{(11q+9)}^2$
Answers
Question 1
a) $x^2+3x+2$
b) $x^2+5x+6$
c) $x^2+10x+24$
d) $x^2+9x+14$
e) $x^2+12x+20$
f) $x^2+12x+27$
g) $x^2+11x+28$
h) $x^2+21x+110$
i) $x^2+51x+50$
j) $x^2+8x+16$
k) $x^2+8x+16$
l) $x^2+10x+25$
Question 2
a) $x^2-3x+2$
b) $x^2-8x+15$
c) $x^2-13x+42$
d) $x^2-10x+21$
e) $x^2-17x+72$
f) $x^2-13x+30$
g) $x^2-19x+18$
h) $x^2-25x+156$
i) $x^2-6x+9$
j) $x^2-6x+9$
k) $x^2-12x+36$
l) $x^2-20x+100$
Question 3
a) $x^2+3x-10$
b) $x^2+4x-12$
c) $x^2-3x-10$
d) $x^2-2x-35$
e) $x^2-3x-10$
f) $x^2-7x-30$
g) $x^2+3x-18$
h) $x^2+x-90$
i) $x^2+7x-330$
j) $x^2-81$
k) $x^2-16$
l) $x^2-100$
Question 4
a) $2x^2+5x+2$
b) $3x^2+5x+2$
c) $5x^2+23x+12$
d) $10x^2+11x+1$
e) $6x^2+29x+20$
f) $8x^2+59x+21$
g) $9x^2+91x+10$
h) $2x^2+5x-3$
i) $3x^2+8x-16$
j) $2x^2+x-3$
k) $4x^2-5x-6$
l) $2x^2-4x+2$
m) $3x^2-13x+12$
n) $2x^2+7x+3$
o) $3x^2-7x-6$
p) $4x^2-21x+20$
Question 5
a) $6x^2+5x+1$
b) $6x^2+14x+8$
c) $15x^2+26x+8$
d) $48x^2+38x+5$
e) $70x^2+27x+2$
f) $36x^2+69x+15$
g) $6x^2+x-2$
h) $12x^2-2x-2$
i) $10x^2-2x-12$
j) $6x^2-13x+6$
k) $15x^2-28x+5$
l) $48x^2-36x+6$
Question 6
a) $x^2+x-6$
b) $-x^2+8x-16$
c) $2x^2+3x-9$
d) $2x^2-13x+20$
e) $-2y^2+8y-8$
f) $16-z^2$
g) $4x^2+12x+9$
h) $16x^2-24x+9$
i) $64-16r+r^2$
j) $9-12e+4e^2$
k) $ab+2a+b+2$
l) $2mn+4m-3n-6$
m) $12+23p+10p^2$
n) $x^4+7x^2+12$
o) $6x^4+7x^2+2$
p) $10x^4+x^2-21$
q) $k^4+4k^2-32$
r) $q^3+7q^2+2q+14$
s) $p^7-p^4+2p^3-2$
t) $27f^3-18f^2+24f-16$
Question 7
a) $1+\frac{2}{x}+x^2+2x$
b) $\frac{1}{x^2}+\frac{2}{x}+1$
c) $\frac{1}{x^2}+2+x^2$
d) $x^2+\frac{6}{x^2}+5$
e) $\frac{1}{x^4}+\frac{2}{x}+x^2$
f) $\frac{1}{x^4}+2+x^4$
g) $\frac{1}{x^4}+\frac{2}{x^3}+\frac{1}{x^2}$
h) $\frac{4}{x^4}+4+x^4$
i) $\frac{4}{x^4}+\frac{12}{x^3}+\frac{9}{x^2}$
j) $16x^2+2+\frac{1}{16x^2}$
k) $x^2-2+\frac{1}{x^2}$
l) $2x^2+\frac{5}{x}-\frac{3}{x^4}$
Question 8
a) $x^2+5x+10$
b) $x^2+7x+20$
c) $x^2$
d) $x^2+24x+36$
e) $3x^2+5x+3$
f) $2x^2-7x-6$
g) $30x^2-5x-1$
h) $x^2+11x+26$
i) $2x^2+6x-5$
j) $10x^2-12x+1$
k) $9x^2-x-14$
l) $10x^2-11x+4$
m) $26x^2+11x-24$
n) $6x^4+3x^3-19x^2-3$
Question 9
a) $2x^2+8x+8$
b) $2x^2++23x+59$
c) $2x^2+4x-16$
d) $5x^2-x-6$
e) $26x^2+16x-9$
f) $7x^2+11x+2$
g) $1-6x^2$
h) $35x^2-29x+6$
i) $5x^2+22x+82$
j) $7x^2-20x-3$
k) $-12x^2-24$
l) $3x^2+x-31$
Question 10
a) $x^2+2xy+2x+y^2+2y+1$
b) $x^4+2x^3+3x^2+2x+1$
c) $9y^2+12yz+12y+4z^2+8z+4$
d) $12a^2+17ab+10ac+6b^2+7bc+2c^2$
e) $-p^2+2pq-2pr-2qr-r^2$
f) $x^3+3x^2+3x+1$
g) $8y^3-12y^2+6y-1$
h) $64w^2z^2-96w^2z+36w^2+320wz^2\\
-480wz+180w+400z^2-600z+225$
i) $15s^4-40s^3t+37s^3u+25s^2t^2-35s^2tu-8s^2u^2$
j) $25x^5+6x^4y+6x^4z-60x^3y^2+12x^3yz\\
-60x^3y-96x^3-42x^2y^3+6x^2y^2z\\
-15x^2y^2-15x^2yz-24x^2y-24x^2z\\
+150xy^3-30xy^2z+240xy^2-48xyz+105y^4\\
-15y^3z+168y^3-24y^2z$
k) $-65s^3-33s^2-87s+124$
l) $588p^2q^2+504p^2q+108p^2-588pq^2\\-504pq-108p-185856q^4+21120q^3\\+265659q^2-14994q-95229$